案例一
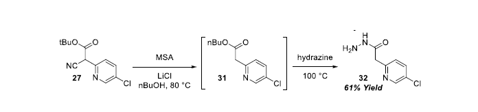
化合物27水解叔丁酯,脱羧制备化合物28
有水水解过程,水解过程很容易产生降解杂质17
水解叔丁基产生的异丁烯参与和氰基的反应,产生杂质30(Ritter reaction路径)

无水水解脱羧(氯化锂/甲基磺酸),先得到化合物31,直接和水合肼反应得到化合物32。
无水水解可以降低二次脱羧的风险,产生杂质17
氯化锂的加入,可以捕获异丁烯,降低Ritter reaction发生的风险
?
案例二
BMS公司,化合物2经盐酸脱Boc制备化合物26
反应过程产生了醚化杂质27,底物羟基和叔丁基碳正离子(异丁烯)反应
抑制杂质27的最好办法是加入水,水更多参与捕获叔丁基碳正离子。
?
?
?