正文

温和条件水解酯基

(2023-05-21 15:05:50) 下一个

酯在碱性条件下水解为羧酸在有机合成化学中非常常见(主要为甲酯或乙酯,而叔丁酯则通常采用酸性水解,苄基酯采用氢化条件),常用的碱性条件是LiOH/THF/MeOH/H2O。但当底物中含有对碱敏感的基团(如氰基)时,使用LiOH水解酯的过程中则容易引入杂质(氰基水解等),那么该如何解决呢?

 

方法一:TMSOK体系

TMSOK体系也是一个温和水解酯基的条件,下图原料1在NaOH条件下水解甲酯时,会生成氰基也被水解成甲酰胺的副产物。

鉴于氰基的因素,后期采用TMSOK进行水解,反应的选择性就非常好,在选择性水解甲酯的同时很好地保护氰基,仅用乙腈作溶剂,水解后的产物直接以钾盐晶体的形式从反应液中析出,经测定,该钾盐晶体的纯度超过了98%。(Org. Process Res. Dev. 2018, 22, 9, 1289-1293.)

久置的TMSOK会有不同程度的吸水,生成KOH,继而影响反应的官能团相容性,可以通过将TMSOK溶解在乙腈里,再加入中性氧化铝搅拌4h后,过滤,母液便可直接使用。其实TMSOK在有机溶剂中的溶解度比大多数无机碱都要好很多,它在促进(加速)Suzuki偶联反应中也是非常给力。TMSOK除了能水解甲酯以外,其它的乙酯,异丙酯,正戊酯,苄酯等也能非常高效的水解(2 eq TMSOK,THF作溶剂,室温反应即可)。

 

方法二:Me3SnOH体系

2005年,Scripps研究所K. C. Nicolaou小组在ACIE上发表了三甲基氢氧化锡(Me3SnOH)水解甲酯的方法,Me3SnOH作为一种温和的碱,反应选择性非常不错,底物中的手性中心能够得到最大程度的保留,并且可以很好地保护对强碱敏感的基团不被破坏;当底物中同时存在多种类型的酯基(甲酯、乙酯、异丙酯等)时,Me3SnOH还可实现选择性水解甲酯(下图 entry 9-12)。(Angew. Chem. Int. Ed. 2005, 44, 1378 –1382)

在水解氨基酸衍生物方面,与其它水解甲酯的方法相比,Me3SnOH的条件能够最大程度上保留手性中心。即使在上述介绍的方法一(TMSOK体系)下,产物的dr值也有颇大的变化。

实验操作: The carboxylic ester (0.01–0.15 mmol) was dissolved in 1,2-dichloroethane and after addition of trimethyltin hydroxide (1–10 equiv), the mixture was heated at 60–80℃ until TLC analysis indicated a complete reaction. After completion of the reaction, the mixture was concentrated in vacuo, and the residue was taken up in ethyl acetate (15 mL). The organic layer was washed with aqueous KHSO4 (0.01n) or HCl (5%) (3  5–15 mL). The organic layer was then washed with brine (5–15 mL) and dried over sodium sulfate. Removal of the solvent in vacuo afforded the carboxylic acid, often in >98% purity (by 1H NMR spectroscopy).

 

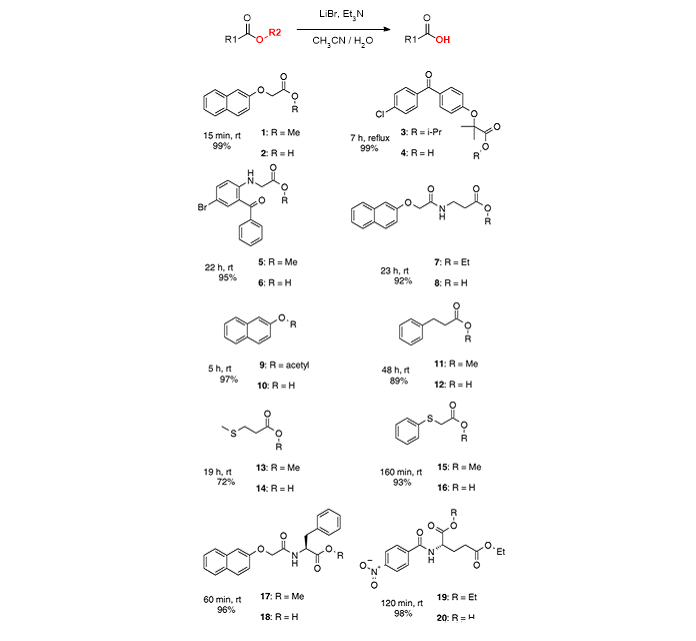
方法三:LiBr/Et3N/H2O-CH3CN体系

 
 

该体系本质上与LiOH水解酯基一样,只不过采用LiBr/Et3N/H2O-CH3CN体系是在原位生成低浓度的LiOH,从而提高水解酯基的选择性,底物中的酰胺键也能得到保留。Tetrahedron Letters. 2007, 48, 2497–2499)

实验操作:the ester (typically 0.5–1 g) was dissolved in CH3CN (10 ml/g of ester) containing 2 vol % of water. Triethylamine (3 equiv) was added followed by the addition of LiBr (10 equiv). The mixture was stirred vigorously at room temperature, except in one case, in which the reaction was performed at reflux (compound 3!4). When full conversion was achieved, as judged by LC analysis of the crude mixtures, the acids (or alcohol 10) were isolated after a simple work-up procedure. Alternatively, the acids were isolated after purification by preparative HPLC.
以上部分内容源于公众号Synthetic Chemistry,若有侵权请告知。

 

[ 打印 ]
评论
目前还没有任何评论
登录后才可评论.