悠然看大海

海阔天空,纳天下百川。时而狂风骤雨,惊涛骇浪;时而风平浪静,碧波荡漾。看潮起潮落,叹世事无常。
个人资料
sx1992 (热门博主)
  • 博客访问:
正文

中国的四万亿美元外汇储备从哪里来?

(2016-09-08 17:24:17) 下一个

中国的四万亿美元外汇储备从哪里来?

 
中国改开三十多年,经济增长创造了世界经济发展的奇迹,国民生产总值跃居世界老二。中国的外汇储备在2014年6月达到峰值3.99万亿美元,至今年4月有所回落,但仍然有3.22万亿美元。中国的富人富得流油,争先恐后出国置产置业、旅游购物,在西方人民羡慕的目光中大摆款爷款姐的谱子,国家主席习近平每次外访都用金钱开路,欢迎的红地毯上铺满了大大赏赐的金子银子,获得21响礼炮欢迎,面子十足、风光无限,给我天朝13亿人民挣足了脸面。
 
无论是中国百姓和企业在外国投资、置产、置业、购物和消费所花的银子,还是政府对外援助和投资所撤的金子,都不是中国的人民币,而是美金。这些美金从哪里来?中国人民回答说,是中国人民的辛勤劳动所得。没错,辛勤劳动生产出来的产品,如果没人买,就是一堆废物。所幸的是,中国通过对外货物贸易,成功地将这些产品卖给了美国,每年都从对美贸易中获得成百至数千亿美元的顺差,换回来大把大把的美金。所以,百姓出国摆谱,习近平成立亚投行,搞一带一路大撤币,花的钱原来都是美国送给中国的。
 
不信,请看数据。下表是中美从1985年至2015年30年间贸易历年差额数据,全部是中国顺差,数据来自美国海关总署的统计数据。
 
1985-2015历年美中贸易逆差额(美国海关总署)
 
年份        逆差额(亿美元)
 
2015        3671
2014        3448
2013        3187
2012        3151
2011        2952
2010        2730
2009        2269
2008        2680
2007        2585
2006        2341
2005        2023
2004        1622
2003        1241
2002        1031
2001          831
2000          838
1999          687
1998          569
1997          497
1996          395
1995          338
1994          295
1993          228
1992          183
1991          127
1990          104
1989            62
1988            35
1987            28
1986            17
1985              0.06
 
总计       40165
 
我们知道,中国外汇储备在2014年6月达到峰值3.99万亿美元,对照1985-2015三十年间中美贸易顺差总额4万多亿美元,我们可以看出,中国的外汇储备基本上全部来自对美贸易的顺差,也就是说,除了美国,中国与世界上其它国家的贸易基本上是平衡的,几乎没有顺差或逆差。中国人民引以傲的排名全球第一的外汇储备全部来自美国。
 
美国海关总署的统计数据是可信的,而实际上中国的对美贸易顺差额可能比统计数据还要大,因为美国有许多无良华人进口商为了逃避关税,会少报进口额。
 
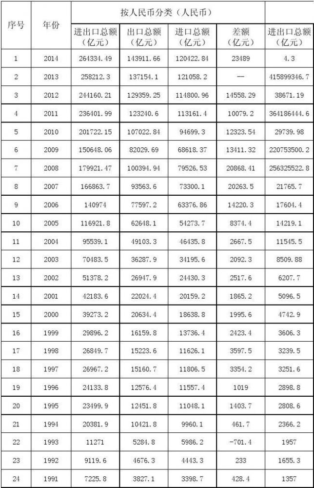
如果你还不信,让我们再看看中国方面的统计数据。下图是中国从1991年至2014年间历年进出口总额和差额的统计数据,数据来自中国国内网站。
 
 
把历年差额加总,得到1991-2014年中国对外贸易总差额(顺差)是176938亿人民币,按平均汇率1:6.5换算成美元是27221亿,而同期美国海关总署统计的中国顺差总额是36248亿美元。双方统计结果是一致的,而且中国从美国获得的顺差总额中的近1万亿美元还被中国政府用于从其它国家的进口支出。
 
中国的爱国贼、奋青和伍猫通常都有两个标准硬件配置,一个是说中国好,二是骂美国。大家可以看看文学城上的伍猫们是不是这样,凡是有说中国不好或者批评中国的新闻和帖子出现的地方,都有伍猫出现在评论中为中国护盘;凡是说美国好的新闻和帖子出现的地方,一定会招来伍猫发表评论攻击和谩骂。这两个标配不仅可以让他们获取最大利益,而且也是最安全的配置。你看他们可以通过给中国和党唱赞歌、骂美国,贪污腐化、贿赂官员牟取暴利,然后再把孩子、妻子、二子、三子和票子转移到西方国家。在美国骂美国是安全的,因为美国言论自由,批评、甚至骂美国政府、领导人和政治制度是美国宪法赋予人民的特权。所以,伍猫可以大张旗鼓地入侵美国网站,骂他们的施主。
 
美国有识之士已经意识到养虎为患的后遗症,中国从美国大赚特赚的好日子恐怕要到头了。不管是民主党的希拉里还是共和党的川普当选美国总统,他们都会想办法解决美中贸易的巨大逆差问题。希拉里的TPP和川普的平衡贸易法,殊途同归,其最终目的都是为了解决美国的贸易逆差问题。
 
中国古训说:“拿人家的手短,吃人家的嘴软。”可是中国的爱国贼、奋青和伍毛们数典忘祖、恩将仇报,终将尝到忘恩负义的苦果。
[ 打印 ]
阅读 ()评论 (9)
评论
X723 回复 悄悄话 川普說得一點也不錯,中國人賺了美國的錢,還要駡美國人的娘。應該對教訓教訓他們了。
soullessbody 回复 悄悄话 别人欠你一百万,你是大爷;别人欠你一百亿,你就不是大爷了。
Gong-Ray 回复 悄悄话 实质上,中国人为全世界人民作牛作马。
狸猫的爸 回复 悄悄话 哈哈哈,楼主只看数字,知道数字后面的真相吗? 美国利用中国的廉价劳动力来创造更多的价值,降低了通货膨涨,而中国也赚了点辛苦钱,这是双赢.
基多山人 回复 悄悄话 。的确应该对五猫们提个醒:不要无事生非的天天叫嚣‘美帝亡我之心不死’-这种老掉牙的‘狼來了’主义者,是一群不说谎就没有饭吃的可怜虫-有一个网友说:他们天天说狼來了,其实是在向老百姓开枪壮胆而已。我们的朋友遍天下-英国退欧前还高调邀请习近平访问为英国壮胆;现在的世界最恨中国的只有三家:台湾现政府,菲律宾和越南。美国会为他们撑腰,但不会为他们打仗-刚有新闻报道:美国为了四名美国俘虏回家付了四亿美元给伊朗,一个美国大兵的命比三百个台菲越军人的命加起來还值钱!倒是中国环球时报和多维网写手一直在叫嚣在南海‘灭了他’-其实灭了他之后中国会变得更强大更伟大吗?中国每年五千亿美元的生意不想做了?或者灭不了他的结果自己反而继当年德国和日本的后尘,成了世界公敌,那不是亏大了?美帝理论团队中没有人会担心中国的核弹和航母,但都会思考:谁养得起十三亿人?所以团结稳定富裕幸福的十三亿中国人民才是最大的力量-这也是‘美帝’不会入侵中国的最正确判断,专门制造‘威胁论’的无脑写手可以休也!
xiangpi 回复 悄悄话 四万亿书贩卖中国资源,污染环境换来的
随意001 回复 悄悄话 中美谁都不欠谁的,商场拼搏,各有所需。将来还会继续拼下去。
随意001 回复 悄悄话 你真以为美国对中国贸易逆差是美国人想帮助中国人,想学雷锋,对中国恩重如山,是吗?学点政治,再学点金融,以后你就不会再这么想了。
豆腐干 回复 悄悄话 观点不论.算法比较粗.中国外贸一直是对美逆差,对亚洲各国顺差.二相冲抵,才是中国外汇储备的来源之一.之二是投资,你既然查得到数据,不妨再查查,30年来外资投入多少,外资利润汇出多少.之三是外债.基本这三项吧,构成中国外汇储备的主要来源.其他还有一些小项目,侨汇收入,旅游收入, 慈善捐款,等等.外汇储备的不断增加,说明中国国际贸易投资上的进出不平衡,对中国经济,对世界经济有百害而无一利.但是对权贵有利,不光是对中国权贵,对美国权贵也有利.这实际上是以外向出口的经济模式,通过扭曲的汇率,最大限度的收刮,剥削普通人民的一种分配模式.也是东亚经济的标准模式,谁都一样,不独中国.当然中国野蛮了点,但是韩国也很野蛮的,东南亚不比中国强多少.天下乌鸦一般黑.
美国会解决贸易逆差问题?你讲笑了.日美逆差问题最早出现,一直扯皮到现在都没解决.没有美国的帮助,随便哪一国的对美逆差都不可能出现,美国能帮你,是因为它也是分肥俱乐部里的一员,还拿大头,它为什么要帮你?他拿这个事当issue 跟你摩擦,交换其他利益,这个是有的。其他的不会。这个世界的悲剧在于本来应该成为人类文明灯塔的美国,这灯越来越暗了,自己都不干净,怎么再从道义上谴责别人?
登录后才可评论.