数学史上,欧拉(Leonhard Eule, 1707-1783)是最多产,最传奇的数学家,没有之一。
瑞士的巴塞尔(Basel, Switzerland), 这座莱茵河畔美丽城市, 曾经孕育过许多数学奇才。300年前,城里有一数学世家,就是伯努利家族(Bernoulli). 伯努利兄弟几人都是鼎鼎大名的世界级数学家。1707年,数学巨匠欧拉也在这里诞生了。
少年的欧拉,聪明勤奋,博闻强记,凡事过目不忘。13岁他进入巴塞尔大学,拜师约翰.伯努利(Johann Bernoulli)门下。16岁硕士毕业。从此,欧拉的研究成果就如“井喷”般一个接一个的出现在世界上。欧拉是幸运的,上帝赐他超人的天赋;欧拉又是不幸的,他青年时就失去一只眼睛,64岁双目失明。然而,无论是青年,中年,还是老年;无论是健全,还是变成盲人;他的成果,源源不断,数量质量,丝毫不减,令人惊叹。鞠躬尽瘁,死而后已,说的正是欧拉。
这篇科普短文,本人选了欧拉的三个公式。通过它们,一起来欣赏与体会,欧拉出神入化的洞察力,精巧的构思,不拘一格的解决问题的能力,和简洁漂亮的结果。
欧拉第一公式 (Euler's Identity,1748年)
eix = cos x + i sin x
这里,i 是复数, i2 = -1。
特别地,让 x = π, 那么,上面公式就变为:
eiπ + 1 = 0
这公式被称为最漂亮的公式,因为它简单,更因为它给出了世界上最重要的五个数的关系: 0 代表着加法的中心,1代表乘法的中心,i代表着复数的出发点,e 代表着微积分的平衡点,π代表着几何。
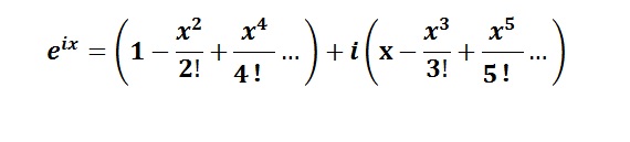
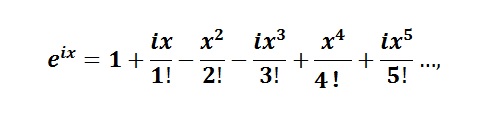
我们看看欧拉是怎么发现这公式的:1748年的一天,欧拉玩着下面几个泰勒级数 (Taylor Series)

他忽发奇想,在 ex 的泰勒级数中,把实变量x换成ix 会怎么样呢? 它变成下面这样子:
整理重组一下,

比较上面sinx 和cosx 的泰勒级数,这就得到了欧拉第一公式。
欧拉第二公式 (The Basel Problem 1734年)

1644年,一位意大利数学家Mengoli 提了这么一个问题:

之后的九十年间,许多世界级数学家尝试解决这个问题,包括微积分发明人之一的莱布尼兹(Leibnitz), 伯努利兄弟们。他们只能计算一些近似值,完全不知道怎样去发现精确解。经过许多次失败,欧拉的师伯贾可比. 伯努利(Jacob Bernoulli)在巴塞尔对数学界恳求:“各位同事,各位高人,如果谁能发现这个问题的解,请告诉我们,将不胜感激。”因此,这个问题称之为巴塞尔问题。
还真有高人。不是别人,正是“伯家军”新秀欧拉。1734年,28岁的欧拉找到了答案。阅读欧拉的工作,不仅惊讶于结果的精美,更惊讶方法虽巧妙别致却并不复杂,人们不禁会说:“看上去没那么难,我也应该可以做出来,可是为什么就是没有想到呢?”
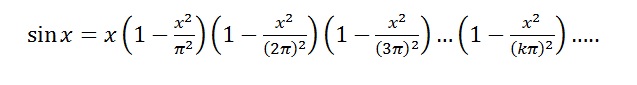
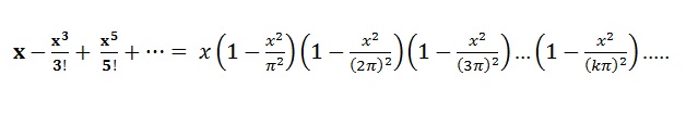
让我们看看欧拉怎么解决这个问题的吧。重温一下我们在前面见到的泰勒级数:

我们把它看作无穷项的多项式,它的所有零点是:x=0,±π,±2π,±3π,…. 根据多项式根与因式分解的关系,有下面的式子:

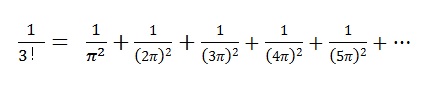
所以,

比较两边展开式 x3 的系数,

稍作简化就得到欧拉第二公式。
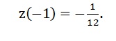
欧拉第三公式 (1737年)

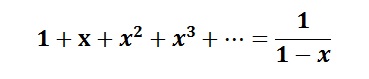
看到这个公式,你们也许以为我笔误了。其实这公式一点都没错。我们先从最简单的无穷几何级数开始:

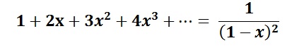
对它两边求导数,

赋值 x = -1, 那么,


根据 上面公式 (***),

这就得到了欧拉第三公式。
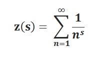
如果你受过严格的数学训练,一定会说:“错了! x 不可以等于-1,因为级数在那里是发散的。”然而, 欧拉毕竟是欧拉,他知道怎样让思想自由地冲破理论的束缚去发现世界的奥秘。当然,这个公式是可以用严格的数学方法推导证明的,这就要用到欧拉首先发现的著名的欧拉-黎曼(Bernhard Riemann, 1826 – 1866) zeta 函数:

这个函数只在 s>1 时收敛。然而,欧拉将它光滑地延拓到实数轴上,后来黎曼将它延拓到复数平面。延拓后,

这就是上面的欧拉第三公式。
这古怪的公式到底有什么用呢?物理学玻色子弦理论 (Bosonic String Theory) 用欧拉第三公式计算出宇宙时空的维数是26 (25维空间加1维时间 )。如果引入超对称(supersymmetry), 时空的维数将减少至10维 (9维空间加1维时间 )。
欧拉的时代已经过去两百多年了。现在,人们关注的是瑞士的达沃斯(Davos), 那里常常政要云集,才俊汇聚,光彩眩目一时。永恒的,却是200多公里外的巴塞尔所飘出的欧拉之气息,激励着一代代探索者。