为什么马克思主义哲学错了
回答“我相信科学、逻辑和常识,所以不信基督教”
最近几个月在网上与老同学们讨论基督教。大家思想活跃,人又非常聪明,让我收益匪浅。经过这段时间的讨论,同学之间慢慢出现几点主流意见:
1. 我们大多数人的专业是理工科,学的是数理化,几十年在工程领域工作。我们相信科学,认为人应该遵从事实和逻辑,不应该相信鬼神。
2. 《圣经》里有很多违反科学和逻辑的地方,比如人死而复活、九十几岁老妇人生孩子、水变成酒之类。我们不相信。
3. 很奇怪,科学发达的西方人为什么还信基督教?
我与同学们背景相似,彼此可以深入理解。在讨论中我逐渐意识到,他们的思想有两大源头。一是理工科教育和后来工作中形成的对科学的切身认识。在他们从事的专业里,造船、热能、机械、材料等背后的理论基础是牛顿力学;通讯、电子、自动化、电力等的理论基础是麦克斯韦尔电磁学。牛顿力学与麦克斯韦尔电磁学构成完整的“经典科学”体系,有别于在二十世纪才诞生的、包括相对论与量子理论的“新科学”。二是马克思辩证唯物主义。在学校时,大家对政治课都不太上心,但是它却是大多数同学系统学习过的唯一哲学体系。人都有信仰,就是思考时遵循的最基本原则。当面对大问题时,人必然依靠信仰,即使平时不知道自己信什么。如果人头脑里只有一套信仰体系,哪怕残缺不全,人也会别无选择地采用这个体系。
这两个思想源头都不来自中国传统。五四运动中知识精英们喊出口号,要求引进“赛先生”,就是现代科学。它来自西方,在中国历史很短,同学们却把崇拜它视作理所当然。马克思主义也在五四后进入中国,现在中国却把它当作立国根本,想想很有意思。但是在现代科学和马克思主义的发源地,人们却信仰基督教,只把科学当工具,把马克思主义视为极端。要理解这种中西方的巨大差别、同时回答同学们有关基督教的深层问题,就需要追根溯源,审视现代科学怎样推动西方哲学思想的变化、以及马克思主义是怎样产生的。
在中世纪,基督教在西欧社会里占据主导地位,主宰人心和社会。王权影响力远比不上基督教。从君王到大众都认为神是世界的主宰、人一辈子的追求、以及社会发展的终极目标。这与同期的中国很不同。在中国,皇权主宰一切,宗教为政治服务。皇权传统让一般中国人觉得与西方文化强烈隔膜。在当时的西欧,所有思想的基础都是基督教,造成神学发达。所有学者首先是神学家,然后才可能是哲学家。著名学者达弥盎Peter Damian (约1007 –1072) 和阿奎那Aquinas(1225-1274)都说过,“哲学是神学的侍女”。这并非贬低哲学,只是陈述当年的事实。科学则更次要,属于哲学的一个小分支,称为“自然哲学”。当时西欧人的科学知识主要来源于古希腊和古罗马的书籍,比如亚里士多德的著作,史称“古典科学”。教会主持古代知识整理工作,其取舍的依据当然还是基督教义。
文艺复兴时期,意大利天主教士哥白尼(1473-1543)提出日心说,挑战西方社会坚信千余年的地心说。伽利略(1564-1642)在1610年公布自己的天文观测结果,支持日心说。这是西欧人第一次不依赖古代经典、完全自主创新的科学发现,代表现代科学诞生,历史意义非凡,震动当时社会各界【1】。
随后,英国哲学家弗兰西斯·培根Francis Bacon(1561-1626)在1620年发表划时代哲学著作《新工具论》,提出归纳推理(induction)在认知过程中的关键作用,就是理论应该以实验或现实为基础,人应该通过系统性观察、在实例中总结出真理。培根因此创立了经验主义哲学(empiricism)。在此之前,西方思想界跟从亚里士多德方法论,在所有知识领域里强调演绎推理(deduction),就是以基督教会认可的教条为基础,以形式逻辑方式论证思想,不重视现实,也不要求实验或观察。这类似改革开放之前的中国。那时万事以马列著作和毛泽东思想为出发点,包括科学教学与研究,直到邓小平复出、在1978年确立“实践是检验真理的唯一原则”之后,情况才有所改变【1】。
继培根之后,英国哲学家约翰洛克John Locke(1632-1704)、苏格兰哲学家,经济学家,历史学家大卫休谟David Hume(1711-1776)等也分别著书立说,支持经验主义观点。西方哲学界强调独创性,大哲学家都有自己的思想体系,不像儒家学者那样热衷于为前世做注解。培根、洛克、休谟都各有很多独到建树。培根的名句“知识就是力量”在中国家喻户晓。洛克是自由主义之父,社会契约理论家,《政府论》的作者,其观点后来深刻影响美国《独立宣言》。休谟有无神论和唯物主义倾向,是个怀疑主义者,认为很多被广泛接受的观念是错误或无意义的。
有趣的是,休谟还可能是现代公共知识分子的鼻祖。他出身上层家庭,从小聪明好学,却觉得传统知识精英职业,比如律师和大学教授,受太多社会约束,所以他意兴阑珊。他也曾尝试过应聘教授职位,却都被拒绝,于是做了自由作家,靠写严肃的哲学书赚钱。他的成功一方面因为他很有见解,另一方面也要感谢社会环境。当时的英语世界里有一大批非常严肃、非常好学的人认真地阅读他高深的哲学思想。他自称是到那时为止,靠写书赚到最多钱的作者。
法国哲学家、神学家笛卡尔René Descartes(1596-1650)创立了现代理性主义哲学Rationalism。他也是解析几何的创始者,与伽利略和培根生活在同一时代。笛卡尔认为培根的经验主义太偏驳,只看到物质现实在科学中的重要性,却忽视了理性的作用。笛卡尔认为,有些真理不来自现实,人获取它们只需要依靠理性原则,比如逻辑和数学等。他认为在科学中仅有实验是不够的,还要依靠人的智能和理性。物质世界按理性原则运行,人头脑里也有理性原则。理性原则属于精神范畴,物质本身并不能产生它们,它们来自神。笛卡尔也被称为现代哲学之父,大名鼎鼎,尽人皆知。后来的荷兰哲学家斯宾诺莎Spinoza(1632-1677)、德意志哲学家、数学家莱布尼茨Leibniz(1646-1716)等也是理性主义的代表人物。马克思和恩格斯都受到斯宾诺莎哲学的影响,爱因斯坦也谈及他对自己的启发。关于莱布尼茨,同学们大概都还有印象。微积分里有以他为名的定理。
在苏联与中国的教科书里,现代科学因为“突破基督教的羁绊”才诞生,这不符合历史事实【1】。哥白尼和伽利略等为理解《圣经》才研究宇宙。他们的工作由教会直接或间接资助。在现代科学刚诞生时,基督教会带领整个西欧社会进行广泛而深入的大讨论,最后达成共识,决定支持科学发展,并允许它相对独立于基督教。教会这样做,依据来自《圣经 罗马书》1:20,“自从造天地以来,神的永能和神性是明明可知的,虽是眼不能见,但借着所造之物,就可以晓得,叫人无可推诿”。神学因此发展出“两本书”教义。神为人准备了两本“书”,《圣经》与神造的宇宙。它们都包含神要告诉人的真理,所以人需要认真读好它们。教会负责读第一本书,科学负责读第二本。只要科学遵守真实的原则、诚实地反映神造之物,就符合神意。所以现代科学的基本精神是真实,这个原则来自基督教。上述所有早期科学家和哲学家,哥白尼、伽利略、培根、笛卡尔等,都首先是虔诚的基督徒,然后才是科学家或哲学家。
马克思生长在德意志地区。在他之前,德意志有深厚的唯心主义传统,产生了康德、黑格尔等伟大的唯心主义基督徒哲学家。马克思唯物主义是对所在社会里主流思想的一种极端否定。
中文“唯心主义”是外来语,德文是Idealismus,英文是Idealism,直译都是“理想主义”。唯心主义与理想主义在中文字面上相距甚远,造成大多数人不知道它们之间的本质联系。古希腊的柏拉图提出“理型论”(Theory of forms),就是现实中的万物背后都有一个完美、抽象、只存在于精神世界的“理想形态”(forms 或ideal forms)。比如生活中具体的友谊是现实的,而友谊的理想形态,就是最理想的友谊,是抽象的。柏拉图又认为,这些抽象的理想形态真实存在,而现实世界是理想形态的一个影子。用平常人熟悉的语言来说,世界与人都围绕、或追随理想形态。但是柏拉图并没有说理想形态完全决定现实。他相信二元论(dualism),比如认为人是二元的,有灵魂与身体,灵魂可以认知理想形态,而身体不能。虽然他更强调灵魂对身体的影响,但他认为二者互不隶属,相互作用。
近代唯心主义兴旺于德意志地区,康德是最关键的推手,其背后的信仰根源是当时在德意志占绝对主导地位的基督教。哲学上,这个学派被认为延展了柏拉图的理型论,但比柏拉图更强调抽象意志对物质世界的决定作用,于是成为一元论(monism),就是世界只有一个根本,其他都是衍生物。用柏拉图信徒们的语言来说,德意志唯心论认为物质现实都基于,人生目的也都是,最完美的理想形态ideal forms,所以称它为“理想主义”Idealism。而其中的“最完美理想形态”当然就是神与神的国,虽然“神与神的国”本身超出了哲学的传统范畴。
唯心主义与唯物主义(Materialism)都是近现代名词,但都在古希腊找到了源头。其中唯物主义曾长期被西方主流社会遗忘。一般西方人对唯物主义的了解来自《圣经》。《新约 使徒行传》记载,圣保罗传道时路过希腊雅典,被伊比鸠鲁学派的追随者们奚落。伊比鸠鲁学派认为,人生最高目的就是追求快乐,是一种古典唯物主义。马克思在著作中也谈到伊比鸠鲁,马克思的唯物主义算是延展了后者的思想。传统的西方人觉得唯物主义堕落、毒害人心,其追随者们不信神,只追求物质利益和感官享受。一个多世纪前,西方思想大量涌入东亚,包括Idealism与Materialism。那时的东亚知识界普遍更喜爱西方左派。大概最早的日文与中文翻译者不想让读者感觉到这两个学派名称里隐含的褒贬,所以没有直译Idealism。
历史上,德意志远比英法更保守。在英法百年战争期间(1337-1453),法国演变成中央集权国家。英国国王亨利八世因为离婚问题,与罗马天主教廷长期不和,促成英国教会在1532年脱离教皇。在英法两个国家里,政治力都上升,挤压一部分基督教原有的影响力。而在德意志地区,古老的教会传统力量一直深厚,政治力则松散。德意志大众笃信基督教,民风淳朴,人民思想方正、深邃。1517年,一位名不见经传的年轻牧师马丁路德,在小镇教堂门上贴了一张纸条,列出95条自己对教廷官方教义注解的不同意见,涉及神学的方方面面,学术性高、意义艰深。放到现在,即使资深的基督徒都很难理解。但是在当时,竟然在德意志全境引发对罗马教廷的思想反叛,可见德意志人对基督教教义研读得多么认真、态度多么严肃。到了启蒙时代,这种强烈的基督教信仰让德意志地区成为唯心主义哲学的热土。
康德Immanuel Kant(1723-1804)是德意志、以及整个西方哲学史上的巨擘,影响了他身后所有西方哲学家,当然也包括马克思和恩格斯。康德出身中产阶级,父亲是马鞍制造商,父母都是虔诚的路德派基督徒。康德从小看到父母在生活艰难时依靠信仰展现出坚韧精神,切身体会基督教对个人与社会的关键作用。他成长的年代,恰逢新兴的科学和哲学思潮蔚然成风,冲击传统的基督教信仰。年轻时他阅读英法意哲学家们的著作,比如休谟的书,觉得这些理论轻视了人的灵魂和灵魂背后的神,于是潜心研究多年,于1781年完成《纯粹理性的批判》,是德国唯心主义哲学的代表作。
在此书的前言中,康德写下一段著名的话:
[A]bove all, it will confer an inestimable benefit on morality and religion, by showing that all the objections urged against them may be silenced for ever by the Socratic method, that is to say, by proving the ignorance of the objector.
大意是,“最重要的是,本书将为基督教和基督教道德观提供巨大帮助,击溃反对它们的所有意见,用的是苏格拉底的办法,就是证明那些反对者很无知”。这句话道出了《纯粹理性的批判》、以及康德所有著作的宗旨,就是为基督教和传统道德保驾护航。
康德认为人具有先验知识,比如关于时间与空间的天生直觉。先验知识就像一副人永远摘不掉的有色眼镜,隔在客观现实与人的意识之间。人无法直接感知现实,必须让先验知识过滤和包装它、赋予它意义,然后才能完成认知。换句话说,康德认为,现实不能直接影响人的认知。所以与经验主义和理性主义相比,在康德的模型中,现实在认知过程中的重要性降低,而包括先验知识在内的意识升格成主导角色。科学研究就是人认知现实的一种特殊形式。西方哲学与神学保持职业界限,前者不直接谈及灵魂或神,但是在西方文化里人人都懂,意识的背后就是灵魂与神。正因为康德重新把神放在主导地位,西方人才称他为Idealist,也就是“唯心主义者”。前文讲到,经验主义认为知识都来自现实。理性主义则将现实与理性并重,认为真理既可以来自现实,也可以来自纯理性。康德的理论比它们复杂,融合了它们的优点,但更强调意识在认知中的关键作用。
康德是德意志哲学界的灯塔,他的理论体系很全面,其中的一项核心内容是他的伦理学,体现在《道德的形而上学》等著作中。简单讲,康德坚信根植于基督教信仰的传统道德,但是在新时代,理性思想冲击信仰,所以他要为传统道德找到理性基础。或者说,他要用理性学说重新包装传统道德。他提出道德的普世准则,称之为kategorischer Imperativ(德文)categorical imperative(英文),标准中文翻译是“定言令式”。这个翻译让人看不懂,所以我把它重新翻译为“无条件道德准则”或“最高道德准则”,意指没有先决条件,任何人、在任何时候、任何事务上都应该遵守的准则。康德认为,无条件道德准则只有一个,但是表达形式多样。康德给出几种表达,比如,“只有当你接受它成为普遍规则时,它才可以成为你的行为准则”或“无论对待自己还是别人,永远不要把人只当作工具,而要把人当作目的”。其实这就是“基督教道德金律”,《路加福音》6:31,“你们愿意人怎样待你们,你们也要怎样待人”。
康德对后世影响巨大。同学们熟悉的黑格尔、马克思、恩格斯、尼采等人,都是他的崇拜者。第一次世界大战时的美国总统威尔逊,曾是普林斯顿大学的教授和校长,很推崇康德。一战结束后,威尔逊主持成立国联,希望以此建立世界永久和平,其基本思路就来自康德在1795年发表的著作《论永久和平》。国联后来失败。二战后美国又主持成立联合国,其基本思路还是康德。康德的国际秩序观建立在他的 “无条件道德准则”之上。他认为,民主制度下的老百姓不会投票支持战争,所以为了保持世界和平,所有国家都应该施行“共和制”,就是现代人讲的代议制民主。
黑格尔Georg W. F. Hegel (1770–1831)是继康德之后另一位德意志唯心主义哲学巨匠。费尔巴哈、马克思、恩格斯等,都曾是“青年黑格尔派”里的积极分子,都曾着迷于黑格尔的学说。黑格尔极大地丰富了辩证法理论,马克思辩证唯物主义中的“辩证”部分就直接来自黑格尔。我们在中学、大学和研究生院里学到的那些哲学概念,比如对立统一、矛盾、否定之否定、量变到质变、螺旋式上升,都可以在黑格尔的思想里找到源头,只不过用词稍有不同。黑格尔把事物的发展抽象为先有正题,正题引起反题,二者相互矛盾,形成合题,然后进入发展的下个阶段。上一阶段的合题转变成为新的正题,正反合过程在更高层次上循环。
黑格尔是个非常虔诚的基督徒。他在死后出版的书里写道,“神不是抽象的,而是实实在在的…从他永恒的精神角度考虑,神必须把他的儿子耶稣派到人间。神要把自己与自己相区分(意指上帝与耶稣相分离),也就是把爱与圣灵区分开”。一个职业哲学家,在著作中这样直白和动感情地谈论神和耶稣,非常少见,也很出格。这样强烈的信仰当然会深刻体现在他的学说中。在黑格尔辩证历史观中,历史发展的原动力和终极目的都是“绝对精神”。他认为历史不是杂乱无章的,而是依据辩证法向前、向上发展。历史本身就是绝对精神在现实中的体现,也是绝对精神向人展露的过程。类似地,个人的自我认识,就是他的精神加入绝对精神的过程。民族精神的发展,就是民族精神加入绝对精神。即使不信教的读者也能猜出,黑格尔的“绝对精神”概念,就是神的一种哲学说法。费尔巴哈指出,黑格尔的“绝对精神”,不过是以精神、思维形式表现出来的上帝。
拿破仑在法国掌权后,对外发动一系列战争,逼得原本松散的欧洲各中小邦国迅速军国化。德意志社会中的主流于是趋于忠君爱国,非主流则趋于极端化,社会矛盾加剧。在这样的背景下,席卷欧洲的1848年大革命发生了。费尔巴哈、马克思和恩格斯都在这场革命中走上历史舞台。
费尔巴哈Ludwig Feuerbach(1804- 1872)比马克思年纪稍长,父亲是德意志著名法学家。费尔巴哈年轻时聪明好学,直接受教于黑格尔。1841年他出版了一生中最重要的著作《基督教的本质》,核心思想是“上帝是抽象的人类”,很像很多同学们说过的,“神是人造出来的”。这个观点违反基督教义,他被视为唯物主义者,离经叛道。他曾把著作拿给黑格尔过目,黑格尔委婉地表示不同意他的观点。到了1848年,大革命在欧洲各国相继爆发。革命党人出于宣传鼓动需要,急寻反对旧体制和旧秩序的理论,越极端越好。于是费尔巴哈的《基督教的本质》变得非常时髦,他也被视为革命英雄、唯物主义先驱。但是种种迹象表明,他对这种名声并不太在意,对政治运动也兴趣不大,而更注重做研究和写作。
大革命时期,费尔巴哈、马克思和恩格斯的公共形象类似,都是反基督教的唯物主义者。马克思和恩格斯更加激进,但费尔巴哈的学术名声更大。很自然地,他们在革命队伍里存在竞争关系。马克思曾嘲讽费尔巴哈是“半截子的唯物主义者”。了解当时的历史背景,就不难理解马克思的态度。
尼采Friedrich Wilhelm Nietzsche (1844-1900)晚于马克思,是这节中最年轻的一位哲学家。尼采不像其他哲学大师,不太注重建立自己的思想体系,而更注重及时反思社会潮流。他非常敏锐地观察社会,语言能力超群,最著名的一句话是“上帝已死”。很多中国读者看到他如此轻慢神,就以为他与自己一样是无神论者,其实不然。研究者深入推敲尼采的所有作品后总结,他的信仰属于德意志民间的社群主义communitarianism【3】,是基督教内部支持教会改革的一个流派,观念比较保守,在19世纪很流行。
尼采感慨于科学突飞猛进,新思想层出不穷,严重冲击传统基督教。他特别重视进化论的影响力,认为达尔文把人与低级生命,比如荷塘里的水藻,说成同源,那么人还怎么相信自己是神造的?还怎么为神代表的爱与真理奋斗?还怎么信仰神?所以他才叹息“上帝已死”。因为上帝死了,人们再不可能寄希望于天国,只能把所有希望都寄托在现实世界里,要在活着的时候求得生命的所有回报,于是人就要追求“权力意志”、要成为“超人”、要主宰世界。为实现这些现实目,他要利用和牺牲普罗大众。
尼采不是说,“我认为上帝死了,所以劝你们不要再信仰上帝”,而是说,“你们已经杀掉了上帝,却还不自知。让我告诉你们今后社会将是什么样子。在没有上帝的新世界里,大家都将只顾争权夺利,聪明能干的人将牺牲大众,没人再追求爱与真理了”。尼采过于悲观,低估了基督教信仰的生命力。从尼采的时代到现在,科学和新思想发展得越来越快,但是基督教并没有像他以为的那样衰落。1900年尼采去世时,世界上信仰基督教的人口数大约是5.88亿,占总人口35.6%。2020年基督教总人口数约24.3亿,占总人口33.4%。上帝远没有死。
读大学时,我曾遇到多位同学,读尼采的书读到昏天黑地,到头来却抱怨没读懂。回头看,他们的问题出在基本预期上。当时很多人学哲学是寻找圣人,希望圣人的书帮自己看懂世界、圣人的生活轨迹能成为自己效仿的对象。人都需要信仰,但是在中国传统文化里,宗教如佛道儒从属于政治和权力,发展受限、内容简陋,经常不能满足现代人的需求。当时中国改革开放,马克思主义退潮,不受同学们欢迎。于是大家转而读尼采,希望他能代替孔子和马列,为自己与世界指明方向。大家不了解的是,在西方,宗教为人提供信仰,哲学只是门学问,不负责信仰问题。只有马克思主义试图越俎代庖,包山包海地自称是信仰、又是科学、又是哲学。其他西方哲学家们没计划为个人与世界提供根本出路,也没准备把自己变成圣人。尼采才华横溢,但后来疯了,英年早逝,死在疯人院,死因是梅毒。这样的人生,怎么有资格成为同学们的楷模?他都不能为自己找到思想出路,更没能力为他人提供信仰。
西方哲学比国人习惯的儒道佛等学说更严谨,每个观点都必须建立在坚实的逻辑基础之上,类似于几何学里的所有定理都必须基于一套公理。中世纪时,西方哲学的基础是基督教信仰。在文艺复兴时期,基督教确立“两本书”理论,就是《圣经》与物质世界都来自神、都反映神意,二者是一致的、统一的。从此之后,西方哲学家们就有了两个相辅相成的说理基础。从文艺复兴到马克思所处的19世纪中叶,现代科学爆炸式发展,不断产生关于物质世界的新结论,让哲学家们越来越重视。科学影响了那个时代的所有哲学学说。
马克思比更早的和同时代的哲学家们都极端。德意志人认为费尔巴哈非常极端,马克思却嘲笑他还不够极端。费尔巴哈怀疑神的来源,认为神是人造的、人把自己的好品质投射给一个虚假的神。但总体讲,费尔巴哈认同基督教的内容,承认神体现善、正义和智慧,隐含信神的个人和民族可以借助基督教让自己变好。马克思却在自己的理论中全面抛弃神,转而完全倚重当时的经典科学。因此马克思主义自认是唯一的、彻底的唯物主义哲学。

图1. 马克思与恩格斯著作列表。马克思的哲学著作几乎都发表于1850年之前。恩格斯后来添加了少量注解和补充,但没有大改变。
二十世纪之前的科学,史称“经典科学”;与之相配的宇宙观,史称“机械宇宙观”。早在文艺复兴时期,现代科学之父伽利略就提出了“伽利略相对论”,就是所有物理规律以同样形式适用于所有匀速运动的参照系。他举例,如果船匀速行驶,在封闭的舱室里,人不可能知道船是否在移动,因为在静与动之间,身边所有物理现象都没有区别。同时代的笛卡尔总结,宇宙就像个精准的钟表,所有物体按严格的机械规律运动,就连有生命的动物在本质上也是机器,人的身体同样是机器。物质世界里的万物都按既定的机械法则运行,所以在平时神不需要介入。但是笛卡尔认为神还是关键的,因为神设计与创造了宇宙,并在最开始时推动它运转。另外,神赋予人灵魂。笛卡尔说过一句名言,“我思故我在”。他认为人的自我意识,思考能力等,不能用机械规律解释,反映出灵魂来自神。
伽利略之后大约一个世纪,伟大的英国科学家牛顿Isaac Newton(1643-1727)建立牛顿力学体系,极大地强化了机械宇宙观。又过了大约一个半世纪,英国人法拉第Michael Faraday (1791–1867)在1831年发现电磁感应定律,德国人高斯Johann Gauss (1777–1855)在1835年提出关于电荷和电场的高斯定律,苏格兰人麦克斯韦尔James Maxwell (1831–1879)在1861年列出麦克斯韦尔方程。至此,电磁学全面完成,进一步丰富了机械宇宙观。
马克思于1840年代建立起他的哲学体系。当时,机械宇宙观在处于巅峰时期。它有几大特点:
时间与空间影响其他事物,但是任何事物都不能改变时间或空间,所以时空是绝对的。一维时间与三维空间构成四维时空,每一维都双向无限延伸,维与维之间互相独立。时空中的任意两点之间又无限可分。这种时空观是纯几何、纯逻辑,机械宇宙观认为它也是现实的。康德断言,人不需要从现实中学习就可以懂纯几何与纯逻辑的时空。但是人只处在现实的物理时空中,不处在纯逻辑和纯几何的时空中。机械宇宙观认为,现实的物理时空就是纯几何与纯逻辑时空、二者是一回事。

图2,机械宇宙观认为,在运动的船上、或在静止的岛上,时间和长度都是一样的。对于任何观察者,岛上与船上的尺子永远一样长,两处的钟表永远走得一样快。即使在今天,一般人也会觉得尺子到哪儿都一样长,钟表在哪儿都走得一样快。对于绝大多数人,机械宇宙观体现基本的逻辑和常识。
综合牛顿物理和电磁学的经典物理认为,宇宙里的物质都可以抽象成质点或质点的组合,每个质点在时空中确定,并具有两种属性,质量与电荷。这两种属性产生质点之间的作用力,影响质点未来的时空状态。经典物理精准描述这些力,所以可以精准预测未来。在机械宇宙观中,宇宙万物的状态是确定的。所有随机现象都源于人无知、或人图方便,并非因为事物本身是随机的。比如掷硬币,机械宇宙观认为,如果考虑硬币上每个形状细节、抛掷者用力的全部过程、桌面与空气分子的详细情况等,掷硬币的结果完全可以预知,并不是随机的。掷硬币显得随机,只因为人没有考虑所有细节。
很多学过经典物理的高中生都想到过,如果知道宇宙在某个时刻的完整状态,那么整个宇宙的未来就可以被精准预测,整个宇宙的历史也可以被精准算出。但是机械宇宙观的两位主要缔造者,笛卡尔与牛顿,都反对这种“决定论”。他们基于基督教信仰而认为,神有自由意志,神按自己的样子造人,也给了人自由意志。神与人的自由意志让宇宙未来不那么确定。当然,宇宙的过去也因为同样原因不能被完全推算出。无论如何,在19世纪中叶,人们普遍对科学充满信心。当时的科学界还不知道原子存在内部结构或宇宙还在不断扩张。不但一般老百姓、就连顶级科学家和哲学家们都认为,科学要么已经、要么即将完美解释宇宙中所有物质现象,从最小的原子到最大的星系、以及中间的一切。
在马克思之前,主流哲学家以神为本,以科学为用。神对哲学重要,因为一方面哲学要面对人的灵魂,而科学无关灵魂。另一方面,当时的科学还不能解决一些哲学上的关键问题,比如宇宙的起源。马克思迈出了其他哲学家拒绝迈出的一步,彻底抛弃神,希望完全立足于科学,并因此把自己的学说直接说成科学。十九世纪初欧洲大陆上接连不断的社会革命是马克思走向极端的外部诱因【2】。在内部逻辑上,马克思采用了其他哲学家无法接受、或认为过份牵强的三个立论:
表达方式有多种,包括“人是高级动物”、“人是社会动物”、“人是会制造工具的动物”,等等。现代哲学之父笛卡尔在其1637年的著作《谈谈方法》中有句著名论断,“动物是机器”,意思是动物行为遵循机械规律,从属于物质。法国早期唯物主义者梅特里于1747年匿名发表著作《人是机器》,模仿笛卡尔“动物是机器”的论点,声称灵魂只是肉体的产物,灵魂不再高于物质。马克思主义哲学接受了梅特里的观点,但语言更直接。把人说成动物,就切断了人与神的特殊关系。
基督教认为,神按自己的样子造人,所以人与神一样高于物质,物质为人服务。而马克思把人纳入物质范畴,断言物质决定人的思想,因此人被降格,不再凌驾于物质之上,而变得听命于物质。虽然每个人都知道肉体或物质能影响人的思想,比如人饿了就想找吃的。但并没有科学证据表明肉体产生灵魂,或包括肉体在内的物质因素完全决定人的思想。圣徒彼得和保罗明知危险,还坚决信仰耶稣,即使被处死也不易志,就是在西欧人人皆知的例子。
在基督教文化圈里,把人与动物等价,被视为对人极端冒犯,原来不被社会接受。但是在1859年达尔文出版《物种起源》后,变成了可讨论的哲学话题。达尔文认为,人与动物一样,都是由低级生物进化而来。其实他的理论只是关于肉体演变的一种科学假说,没有涉及到人的灵魂。但是很多人靠“脑补”,凭空添加了关于灵魂的“进化论”。认为“灵魂是进化而来”的观点,没有科学根据。
在《关于费尔巴哈的提纲》里,马克思写道,“人的本质不是单个人所固有的抽象物,在其现实性上,它是一切社会关系的总和”。马克思主义又认为,人的群体,如社会、阶级、党派等,是客观的、物质的,遵循生产力决定生产关系和上层建筑等机械规律,属于科学范畴。把人的本质定义在群体层次上,就绕过了个人。即便个人的灵魂、自我意识、精神、爱、希望等存在,在马克思主义哲学里也变得不重要,不值一提了。
在马克思主义哲学定型的19世纪中期,机械宇宙观处于巅峰时期,信者众多。当时科学本身对宇宙起源没有好的解释,辩证唯物主义就依据经典科学中的能量守恒定理提出运动永恒论,认为时间是无限的,过去和未来都是无限的;能量永恒,物质从来都运动,也将永远运动;所以宇宙从来都存在,也将永远存在。没有了起始点或终点,宇宙也就不需要起源论了。我们现在知道,宇宙有起点,能量也不完全守恒。当时社会对经典科学过份乐观,促使马克思的思想走向极端,也帮助马克思主义被大众接受。
在经典科学和机械宇宙观里,物质运动遵循严格而精准的机械规律,人在其中没有作用。这点符合唯物主义基本观念,“物质世界不以人的意志为转移”。马克思认为,物质决定人的思想。他不再像哲学界前辈那样依赖信仰,而把自己的理论完全根植于机械宇宙观。马克思主义者们骄傲地宣称,自己的哲学基于最先进的科学成果。而科学就是研究物质世界的学问,所以马克思主义哲学也是科学。但是科学不需面对人的灵魂,而哲学需要。马克思主义哲学用难以令人信服的逻辑避开了这一点。
如果人是机器或动物,那么人存在的根本目的就是被利用。机器与动物没有灵魂。它们没有独立的“我”,服务它们没有意义,所以它们不可能是目的,只能是工具。它们存在的意义就是被利用。只有承认人有灵魂、灵魂来自神,人才有神圣的内在成分,才值得被尊重,才可能是目的,才可能被服务。
一般人把自己看得最重要,并试图利用一切外部因素,包括其他人,为自己服务。基督教认为,你有权把自己看得重要,因为你来自神,你的灵魂神圣。但基督教提醒你,其他人也来自神,他们的灵魂也神圣。所以你要像对待自己一样对待他人。这种态度基督教称之为“爱”。基督教道德金律就是基于爱,“你们愿意人怎样待你们,你们也要怎样待人”(《路加福音》6:31 )。
而马克思主义认为,你可以利用其他人,因为他们只是动物。他们的灵魂只是物质的衍生物,你怎样对待物质,就可以怎样对待别人。但你要知道你也是动物,你的灵魂也只是物质的衍生物,所以你要像看待动物、看待别人那样看待自己,你也要被利用。现实中,在信奉马克思主义的社会里,每个人都被领袖或组织利用。老百姓都是领袖和组织的工具,比如中国号召老百姓做“革命的螺丝钉”、“发挥老黄牛精神”等。
马克思唯物主义与功利主义有内在关系。这里的功利主义指唯利是图、追求功名利禄,不是Utilitarianism的译名。马克思主义让人相信,你不要看重灵魂、不要看重个人,而要看重自己所属阶级的经济利益,就是无产阶级的利益。对手资产阶级拿走了我们的经济利益,你应该“武力革命”,“消灭”资产阶级,就是为夺财而杀人。剥去文绉绉的表层,马克思主义的本质就是利益好处最重要,为此你要无所不用其极。相信利益好处最重要的人,在生活中当然就是功利主义者,其中聪明能干的那部分就是精致的利己主义者。这就是为什么西方人传统上把唯物主义者看作是贪图感官享乐的低下卑鄙之徒。
马克思唯物主义哲学刚刚成型不久,科学开始大变革。机械宇宙观盛极而衰,最后崩溃。
十八世纪后期,法国科学家库伦Charles Coulomb(1736-1806)发现电磁力。1861年,麦克斯韦尔方程问世,电磁场理论趋于完整。1881年,英国科学家汤姆森J.J. Thomson (1856–1940)根据麦克斯韦尔方程首先推导出磁场中运动电荷的受力公式,但存在错误。1895年,荷兰科学家洛伦兹Hendrik Lorentz(1853–1928)提出关于电荷q在电磁场中受力的正确方程式:

此方程提出后不久,包括洛伦兹在内的很多科学家就意识到它存在严重问题。具体讲,静止的观察者与运动的观察者,根据洛伦兹电磁力方程Eq.1,在同一个实验中会得到不同结论,违反伽利略相对论。下面是一个例子。

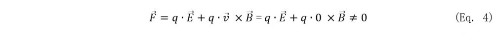
图3:洛伦兹电磁力方程式违反机械宇宙观。
同一个物理过程,只因观测者所在参照系不同,洛伦兹电磁力方程式给出两个结论,Eq.2和Eq.3,互相矛盾。这个问题困扰物理学界很多年。科学家们曾怀疑新生电磁学的方方面面,试过各种办法,都不成功。直到1904年,洛伦兹又发表文章,提出“洛伦兹时空转换”,简单讲就是从观察者角度看,其他运动参照系里的长度变短、时间变慢,这个矛盾才解决。具体如下:
在图3下方,观察者与电荷+q同步运动。导线中的负电荷静止,正电荷以速度v向左运动。依据洛伦兹时空转换,正电荷之间距离变短,密度变高,高于静止的负电荷密度。导线从原来电中性变成带正电。电荷+q静止,不受磁场力,但受到电场力:

Eq.4的第一项电场力正好等于Eq.2的第二项磁场力,矛盾解决。
但是洛伦兹本人只把这种转换看作技术窍门,声称这个窍门可以解决问题,却不敢进一步思考背后的物理意义。洛伦兹是当时最权威的电磁专家,诺贝尔奖获得者,一生成就斐然,深受行业尊重,却无法接受时空真的会依观察者不同而变化。绝对时空观念深入每个人的思想,就连顶级物理学家也不敢怀疑。
一年后的1905年,一位专利局小职员爱因斯坦发表了划时代的论文,提出狭义相对论。其关键技术内容就是洛伦兹时空转换,但是爱因斯坦讲出了别人不敢深想的事。时空不是绝对的,依运动速度变化而变化。这个观点引发科学革命。
利用狭义相对论再看Eq.2与Eq.4,原来磁场力与电场力本质一样。二者是同一种力在不同参照系下的不同表现形式。很多人以为,相对论效应只在特别高速度下才会呈现,离日常生活遥远。这是个反例。

图4.1920年爱因斯坦受邀访问荷兰莱顿大学(Universiteit Leiden),与洛伦兹在一起。洛伦兹在此做物理学教授。他比爱因斯坦资历更深、也更年长。爱因斯坦非常尊重他,曾说过一生中受他的学术影响最大。

图5,左侧是经典物理学中的氢原子行星模型,右侧是量子物理学中的氢原子模型。
近代科学家们早知道分子可以被分解成原子,但是发现原子内部结构要晚得多。1808年,英国化学家道尔顿John Dalton(1766-1844)基于牛顿的原子论提出了第一个近代原子模型,认为原子就像一个个坚硬的实心小球,不同元素的原子不同。1897年,汤姆森首次发现电子,但还不知道原子核的存在。他认为原子像布丁球,类似于中国的年糕球,实心、里面镶嵌着芝麻。其中“实心糯米”带正电,“芝麻”就是电子,静止、带负电。1909年,汤姆森的学生卢瑟福Ernest Rutherford(1871-1937)发现原子核,人类才知道原子内部基本上是空的,原子的质量与正电荷都集中在非常小的区域内,电子不是静止的,而是高速运转。卢瑟福提出“原子行星模型”,其中电子环绕原子核转动,就像行星环绕太阳转动那样。这个模型在很多其他实验中得到支持,被科学界广泛接受。
但是卢瑟福原子行星模型引发经典物理危机。如上图左侧,电子绕原子核运转,形成电场扰动,根据麦克斯韦尔方程,会不断产生电磁波,向外发射能量。电子不断失去能量,速度逐渐变慢、轨道变低,最终必将跌入原子核,就像人造卫星在失去能量后跌入地球。所以经典物理无法解释为什么原子可以在宇宙中稳定存在。为了解决这个问题,丹麦物理学家玻尔Niels Bohr (1883-1962)在1913年引用量子概念建立了玻尔原子模型。如上图右侧,其中的电子只能在一系列特定轨道上运转,其能量只可能采用特定的、离散的数值,不再是连续变量。电子还可能失去能量,但必须在不同轨道之间跳跃。当电子跳入最低能量轨道之后,没有更低能量轨道可跳,所以无法继续发射电磁波,原子结构于是稳定。
玻尔提出原子量子模型,是量子物理诞生中的一个标志性事件。早在1901年,德国物理学家普朗克Max Planck(1858-1947)在研究黑体辐射问题时就运用了量子概念,但是当时他只当作技术性窍门,没有深究其背后革命性的物理意义,类似洛伦兹处理时空转换的情况。1905年,爱因斯坦研究光电效应时也采用了量子概念,但也只当作技术性窍门。机械宇宙观深入人心,连伟大的爱因斯坦也不能免俗!玻尔的量子化原子模型代表思想革命。后人对玻尔模型有许多改进,但量子的概念从玻尔始被主流科学界接受。
总之,经典科学体系中存在固有矛盾。为了解决这些矛盾,以相对论与量子物理为主要内容的 “新科学”在二十世纪初诞生。之后,科学进入新一轮爆炸式发展。下面一览表列出与本文有关的其他一些重大科学发现:
同学说出“我相信科学、逻辑和常识,所以不信基督教”,是随口而出的实话,但不一定想透了这句话的意义。他们觉得科学、逻辑和常识是统一的,所以是强大和靠得住的,是自己可以信任和信仰的真理。但是,这个直觉不对。上节讲到经典科学自相矛盾,所以被新科学取代。但是以相对论和量子物理为主要内容的新科学却严重违反人的常识与逻辑。当科学、常识与逻辑之间互相矛盾时,这些同学有必要重新审视自己内心的信仰体系。

图6,两列火车相向而行,男人和女人分别站在所在列车的中央。两人交错时,在他们之间点亮一盏灯。对于不同观察者,灯光照亮两车头和尾的顺序不同。
相对论破坏事件的时间顺序与“同时性”。相对论认为,在任何参照系里,光总以恒定速度c传播,所以上图中无论男人还是女人,都觉得向前的光和向后的光速度一样。于是:
比如在男人看来,光先照亮红车尾,然后照亮绿车尾。但是在女人眼里,顺序相反。可见,相对论破坏了时间先后顺序的客观性。常识认为,两件事发生的先后顺序是绝对的,对于每个人都一样。人的日常逻辑多基于此。比如“人死不能复活”,本质就是认为“活”在先、“死”在后,顺序不可能颠倒。
再比如在男人看来,光同时照亮绿车头和绿车尾。但是在女人眼里,绿车尾在先、绿车头在后。人的日常逻辑也经常基于同时性是客观的,但相对论破坏了这个逻辑。

图7,量子双缝实验。双缝实验是量子物理中最基本的实验形式,它的历史远早于量子物理本身。1801年就有人用这种实验研究光波干涉现象。上图实验中有三个主要硬件,最前面是粒子发射源,最后面是对粒子敏感的显示屏,中间隔板有两条细缝可以让粒子通过,左边是“缝1”,右边是“缝2”。实验中发射源每次只发射一个粒子,前后粒子相隔的时间足够长,保证在任一时刻,在发射源与显示屏之间最多只有一个粒子。粒子可以是电子、质子、光子、原子等。实验中有一位观察者,可以选择不观察,或在“观察点A”粒子进入缝隙前观察其状态,或在“观察点B”粒子通过缝隙后、到达显示屏前观察其状态。
双缝实验产生了多个非常重要、但违反逻辑与常识的量子物理结论:
在早期实验中,发射源采用传统意义上的纯粒子,比如电子。实验预想是显示屏上将出现如上图左侧下方的2个感光区域,分别对应隔板上的2条细缝。但是在实验者不观察粒子中间状态的情况下,一次次实验结果都违反预想,显示屏上出现了如上图右侧下方的波纹状多个感光区域,仿佛粒子变成波,同一个粒子的波同时穿过两条缝,然后在屏幕上产生波干涉现象。经过物理界广泛深入的讨论,奥地利物理学家薛定谔在1926年提出薛定谔方程,认为在无人观测的情况下,粒子是以波函数的形式存在。德国物理学家玻恩在同年指出,波函数的本质是数学概率波。他们对上述实验结果的解释是,没有观测的情况下,在放射源与屏幕之间,基本粒子不是以机械宇宙观中的质点或质点组合的形式存在,而只是概率波。换句话说,在经典物理学意义上,如果无人观测其状态,粒子在发射源与显示屏之间是不存在的。
如果实验者在粒子进入双缝前(观察点A)观测粒子路径,那么粒子就呈现经典颗粒状态,每个粒子只通过一条缝隙。发射源发射大量粒子后,显示屏上呈现2个感光区,如上图左侧下方。观测造成这样的差别,出乎预料。科学家们的主流意见是,观测让波函数“坍缩”,让粒子从概率波状态变成经典粒子状态。从机械宇宙观的角度看,人的观测使得粒子从“不存在”状态变成“存在”状态,也就是观测缔造了物质。
主流物理学家们明确表示,他们不愿深究“观测”代表什么,因为这个问题可能超越传统物理学范畴,进入哲学与信仰领域。但还是有人试探。著名物理学家诺伊曼在1932年提出,观测的关键是意识、意识造成了波函数坍缩。用平常人的话来说就是“意识创造物质”。这个“意识”的主体可能是个人,也可能超越个人,比如是神。从1960年代初开始,现代量子物理学家维格纳Eugene Wigner(1902-1995)进一步论述和推广诺伊曼的观点。在过去一个多世纪里,量子物理学界积累了大量实验,都没找到证据否定这一观点。
总之,在实验中观测造成了波函数坍缩。观测必须有观测者。这些实验至少表明,物质不独立于人。如果进一步,意识造成波函数坍缩,就表明意识可以缔造物质。不管怎样,这些实验结果否定了物质的客观性,当然也就否定了机械宇宙论、以及马克思主义唯物论。
如果在粒子通过双缝后(观察点B)观察粒子路径,科学家本来预测显示屏上会出现波干涉图样,因为粒子在通过缝隙时还“不知道”自己将被观测,但实验结果【4】似乎与之相反。粒子也呈现经典颗粒状态,每个粒子也只通过一条缝隙。发射源发射大量粒子后,显示屏上呈现2个感光区,如上图左侧下方。
在观察点A和B观测,后果完全一样。这个结论令人惊讶。按一般逻辑,粒子先经过隔板,然后才会在B点被观测。按时间算,观测发生在“未来”,粒子通过隔板是“历史”或“过去”。在这个实验中,未来改变了过去,违反了常规因果关系,违反人的常识与逻辑,当然也违反了机械宇宙观。
利用双缝实验的研究非常多。为了不让读者感觉沉重,这里不深入介绍。不过有一个关键细节值得说明。观测手段在双缝实验中无疑非常关键,在图7中以摄像头代表。如果真用摄像头观测,很容易扰乱实验结果的解读,比如人们会猜测摄像头的具体工作方式影响了实验结果。现代双缝实验采取了一些巧妙的办法绕过观测机制带来的潜在影响。感兴趣的读者可以参考世界著名物理学期刊《物理评论快报》Phys. Rev. Lett.在2000年的文章 “延迟选择量子擦除实验”Delayed Choice Quantum Eraser【4】,其实验设计巧妙,体现行业前沿,结论涵盖量子物理中的各大关键问题。这篇文章已成为经典,但依然有争议。一些科学家认为它的实验设计还存在缺陷、“未来改变历史”的结论不完全可靠。文章的第一作者Y. Kim是韩国在美国的博士留学生,另一位作者史砚华(Yanhua Shih)本是1980年代来自中国的留学生,毕业后留在美国做教授。
包括相对论与量子力学在内的“新科学”,让全世界都感到不舒服。在西方基督教文化圈里,新科学违反人们习以为常的机械宇宙观。在东方共产党国家集团里,新科学否定物质客观性,直接颠覆马克思主义意识形态大厦的基石,挑战共产主义理论的正确性、以及共产党执政的合法性。新科学的诞生和大发展,恰逢西方与共产党国家集团展开激烈的意识形态竞争。两边都非常怀疑新科学,但是表现方式和对科学造成的后果大相径庭。重温那段历史可以帮助我们看清楚两种信仰体系的根本不同。
二十世纪初,当新科学正在击碎流行了几百年的机械宇宙观时,信奉机械宇宙观的马克思主义政党却在沙俄取得政权。当时苏共里还有很多人真诚相信马克思主义的正确性,所以敏锐地察觉到新科学与自己的信仰水火不容。在1920年代苏联就开始批判相对论和量子物理了,并在1929年的第二届全苏马克思列宁主义科研机构大会和1931年的共产主义物理学家会议上达到小高潮。比如莫斯科大学物理学教授叶戈尔申在会上总结相对论和量子力学,说前者质疑原来的时间、空间和物质等概念,造成唯心主义兴盛;后者认为粒子运动路径受观测者影响、量子状态在被观测前并不客观存在、只在被观测后才出现,是“公然否认客观存在,否定因果论”。这些会议齐声发出警告,自然科学领域已出现了唯心主义倾向,甚至批判量子物理学创始人玻尔想利用物理学消灭马克思主义。此后,1931年联共(布)中央决议宣布,要在自然科学和哲学领域“对反马克思主义者进行无情批判”。
但是1930年代是苏联的多事之秋,最高层忙于无情的大清洗、大饥荒、平叛等急迫任务,没太多精力处理自然科学界的哲学理论问题。再加上当时苏联科学界还保留很多沙俄时代的“旧知识分子”(列宁用语)和他们维持的旧学术气氛。一些科学家深受西方思想影响,敢于在关键时刻坚持原则。比如苏联物理学家弗兰格尔在1931年的一次会议上公开说:“辩证法无权谋求科学领导地位”。在1934年的一次会议上,他又表示:“在哲学领域,我不是小孩子。我从列宁、恩格斯著作中读到的那些内容不足以取代我原有的方法论观点。这就是我的观点,我绝不放弃它”。政治高压之下,还有科学家立场鲜明,毫不妥协,维护科学精神,造成这次苏联批判新科学运动虎头蛇尾。
二次世界大战结束后不久,苏联最高层再次掀起了反对西方新科学的运动。从1920年代到1940年代末,相对论和量子物理都有了长足发展,成为西方科学的主流。基于广义相对论的宇宙起源大爆炸理论也已被提出,并积累大量观测结果,包括光谱红移的证据,代表能量不守恒。苏联官方认为这些西方堕落思想违反辩证唯物主义,影响越来越大,已经威胁社会主义意识形态,所以必须回击。官方学者们列出新科学的罪状,包括相对论宣扬时间与空间因观察者不同而不同,违反唯物主义;量子物理引入量子态描述物质的最基本性质,那根本不是“真实的物质”,完全违反唯物主义;宇宙不断扩张,是学术“癌症,侵蚀现代天文学,是唯物主义科学的主要意识形态敌人”。苏联强烈反对宇宙大爆炸理论,认为它很像《圣经 创世纪》里神造宇宙的故事,属唯心主义理论,是假科学。
这场在科学领域里贯彻辩证唯物主义的政治运动,由苏共第二号人物、斯大林预想的接班人,中央宣传鼓动部部长日丹诺夫亲自主持,于1946年开始布阵。在运动如火如荼时,日丹诺夫于1948年突然去世,影响了运动的发展。1949年召开全苏联物理学大会,本来计划把反对唯心主义物理学运动推向高潮,但是被严峻的美苏冷战形势打断。负责核武器研究的苏联科学家私下向斯大林抱怨说,此时批判相对论与量子力学将影响核武器研发进度。斯大林马上意识到问题重大,于是布置好的政治运动不了了之。这时候的苏联与1920年代不同,人民已经变得滑头,真心相信马克思主义的人已没有几个。这件事再次让苏联人看懂,马克思主义在现实中行不通,只是用来撑门面的。此后苏联继续在政治上打压新科学,直到斯大林去世。赫鲁晓夫上台后施行去斯大林化改革,苏共理论家们开始宣称,“相对论和量子物理完全符合辩证唯物主义”。这是出于政治需要的表态,背后没有科学或哲学基础。经过30多年社会主义制度训练,苏联左右两派都已习惯说假话。为了眼前政治利益,即使苏联顶级科学家和哲学家也践踏学术严谨性,不考虑国家意识形态是否还正确。
中共与苏共都信仰马克思主义,但有差别。早期苏联还残留东正教传统,很多人对信仰和主义非常严肃,思想深刻。而中国有深厚的忠君传统,在中共体制下,人首先要忠于伟大领袖,对于抽象的信仰和主义则远不如苏联人严肃。这种情况在国人里非常普遍,经常融化在血液里,少有人例外。比如毛泽东建国后开始关注核物理,因为那是世界科学的最前沿,更与核武器息息相关。在1955年的一场会议上,毛与中国最好的核物理学家钱三强座谈。钱三强对毛说,质子与中子是基本粒子,不可再分。毛则认为物质无限可分,并问与会者的意见。结果包括钱三强在内的所有人都不吱声了。几个月后在1956年初,毛又拿同样的问题去问大科学家钱学森,“你们科学家说的,基本粒子不可再分啦!我看基本粒子也是可分的,你信不信?”钱学森当时什么也不敢说,但在文革时对这个问题正式表态过,“毛主席对物质无限可分性的问题,从唯物辩证法的高度,作了非常精辟的论述”。
不难预料,毛泽东在后来几十年里对“物质无限可分”的观点越来越自信,因为他问过中国最好的科学家,每个人都夸他说得对,没人反对他。于是这个观点成了中国物理学界最神圣的信条,严重影响了中国理论物理的发展。物质无限可分,本是很多聪明、但非专业物理学家的人常有的误解,毛这么想本无可厚非。钱三强和钱学森都是大才子,在国家科技体制里位高权重。其中钱三强专门研究原子内部结构,在法国长期留学,师从世界著名科学家居里夫妇。二钱在当时都有机会对毛解释,“大约40年前,德国科学家普朗克就发现微观世界的量子化,后来实验也证明了,所以物质小到一定程度后就不可能再分割了”。这并不算冒犯领袖,但他们却选择了沉默,因为沉默能保住领袖的面子,保住自己的利益,也没有得罪任何具体的人。但是他们的沉默严重伤害了整个中国的科学发展,他们尸位素餐。这两个人可能都比前面提到的苏联物理学家弗兰格尔更聪明、更有学问,社会地位更高,却完全没有后者那种维护科学原则的勇气。
苏联批判相对论与量子物理的消息,在1950年代初就传到中国。但是当时的中共高层总体教育程度低,现代科学背景尤其薄弱,懂得这些哲学争论的人很少,所以没有重视。再加上当时中国科学界的骨干大多是民国遗留人物,出身西方教育,知道相对论和量子物理的结论经过实验验证,觉得苏联对新科学的批判莫名其妙。那时一般中国人还不太懂苏联式严酷的政治运动,所以发生在苏联的批判在中国没有引起很大波澜。
1960年代初,中苏交恶。毛泽东想与赫鲁晓夫争夺世界共产党国家集团的领导权。赫鲁晓夫逆转斯大林的政策,在意识形态领域对西方软化,让毛泽东看到机会,可以把自己树立为马列主义思想的正统,于是开始部署在全国掀起学习辩证唯物主义的热潮。这个政治运动当然需要冲进科学界,于是毛采用了他惯常的操作。第一是面授自己的女婿孔令华和自己的文胆陈伯达,让他们按自己不公开的目的保持运动大方向。二是发动廉价的底层群众冲击目标。当时找到一个从中学直接进入党校的马克思主义哲学专业学生罗嘉昌,还有一个满嘴跑火车的湖南小镇中学教员周友华,各写了一篇依据辩证唯物主义和毛泽东思想反驳相对论和量子力学的文章,让他们进入科学院教训科学家们。科学界的头面人物们马上嗅出了这番操作背后的政治用意,纷纷表忠心紧跟毛主席,要“用毛泽东思想改造自然科学基本理论”。于是从科学院到各大专业研究所、再到大学,几乎所有科研机构都卷入,科研活动被严重打乱。那场运动波及的学科包括相对论、量子物理、自动控制理论、化学共振论、摩尔根遗传学、宇宙学,等等。
当时主持科学界的学术领袖包括钱学森、周培源、钱三强、竺可桢、李四光等大名鼎鼎的学者。他们都从小接受严格正统的西方科学教育,青年时期在西方长期逗留:
留学时,他们在西方教授的指导下,于西方文化氛围中,都做出过斐然成绩。但是回国后他们都失去了求真的精神,文革期间在权力面前他们中没有一个人坚持维护科学。他们保住了自己的地位,却阻碍了科学在中国发展。这些人一生浸淫在科学里,为什么骨子里却没有对科学的忠诚呢?因为忠诚于科学的实质是忠诚于真实。真实是科学的根本,却不是科学的内容。它不属于科学,而在科学之外。一个人浸淫在科学里并不代表他忠于真实。那么什么人才忠于真实呢?基督徒。耶稣说,“我是真实(I am the truth)”,所以耶稣的信徒们忠于真实。基督教社会崇尚真实,为科学提供了坚实的基础,所以现代科学诞生在西欧,并一直在西方社会里发展得最好。而这些中国大学者们内心还是传统臣民思想,把忠君放在真实之上。学习西方科学、到西方留学和生活等,都没有为他们带来信仰层次的改变,所以无论他们多聪明,读了多少书,有多少学术成绩,在西方生活多少年,当了多大的官,到头来还是君王的奴才,没有捍卫科学必需的勇气。中国的科学就败在这些人手里。

图8,当时中国最高科学殿堂就是这样反对相对论的。他们反对“光速不变原理”的唯一根据是中国高中政治课本里讲到的、辩证唯物主义的一条基本原理,“运动是绝对的、静止是相对的”。其源头是总结恩格斯的一段话。相比之下,苏联批判西方新科学时,还保持一定的学术水准。比如他们发展自己的替代理论,试图重新解释已发现的实验结果。中国反对西方新科学,基本都是大字报水准。
大概在1987学年,交大特别为优异生开设了一门物理课,内容包括相对论和量子物理。但是老师在课堂上绝口不谈现代物理背后的哲学问题,却加入大量数学公式与推导。记得课上讲到量子光学里的光栅实验,与双缝实验大同小异,但技术上远更复杂。老师把薛定谔方程式、傅里叶分解等写得满黑板。我下课后试图问老师关于波函数坍缩的问题,自然引到观测的本质。两个老师里年长的一位立刻警觉,不想再多说一句。年轻的先迟疑不决,后来向老的学样,也闭嘴不言。那时文革已过去10年,但还是没人敢讨论“意识决定物质”这样的话题。中国科学家们头脑中深深印着“政治最重要,科学精神算个屁”的信条。他们经常非常聪明,有的也很勤奋,但是对科学没什么坚定信念,所以在那种环境里就变得懦弱无骨。他们避开科学中的关键问题,只依靠一些技巧,比如复杂繁琐的数学,混口饭吃。
人都是相似的。相对论与量子物理让各个国家、文化、政治制度下的人都感觉难以接受,觉得它们违反了常识、逻辑和人们本已习惯的经典科学观念。不但一般人如此,那些位高权重的人也如此,比如毛泽东。不但马克思主义者如此,基督教文化圈里的人也一样。实际上,相对论与量子物理在西方科学界遭遇大规模怀疑。下面讲两个西方科学家怀疑相对论与量子物理的例子。他们都对新科学的诞生有过实质性贡献,却又深深怀疑新科学。第一个是发现光速恒定的美国科学家迈克耳孙,第二个是伟大的爱因斯坦本人。对比他们和马克思主义者的不同,可以帮助我们看清两种意识形态的差别。

图9,物理学家迈克耳孙Albert Michelson(1852-1931),普鲁士犹太人,幼年时移民美国,毕业于美国海军学院。短期服役后,在近30岁时,赴西欧继续深造,接触到物理学最前沿,并从此迷上测量光速的问题。他是美国历史上第一位诺贝尔奖获得者。
迈克耳孙一生致力于设计最好的实验方法与实验设备。1887年在俄亥俄州,他与莫雷合作,试图用实验证明以太存在,办法是测量不同实验条件下光速的变化。但实验结果却是光速在不同情况下的差别非常小,小于实验误差范围。他们的实验设计精巧,考虑周到,精度极高。世界主流物理学界因为这个实验结果开始相信光速是恒定的。这个结论对物理学后续发展起了重要作用,迈克耳孙因此获得1907年诺贝尔物理学奖。
但是迈克耳孙本人却从没相信过这个结论,并且终生认为自己的实验是个巨大失败。他坚信经典物理学,不能接受相对论,无法想象现在中学生都知道的光波基本性质,包括光可以在真空中传播、光速独立于光源速度等。他认为他那场著名实验没有发现以太是因为精度不够。在后来约40年的职业生涯中,他不断改进方法重新实验,希望增加精度后就能发现以太,直到他去世。当然他最终也没如愿以偿。
抖音里有个小段子,在饭店里,男生坐在凌乱的餐桌旁等待女朋友。女朋友赶来后说自己太饿了,端起桌上的饭碗就开始吃。男朋友马上高喊,“那是上一拨人剩下的!”于是女朋友立刻吐出嘴里的饭。这个小段子说明,人关注事情有高低之分。只有当重要的问题解决了,人才会关注次要的事。女朋友非常饿,头脑里本来关注吃饭,但是听说碗里的饭是别人剩下的,立刻意识到比填饱肚子更重要的问题出现了,于是马上把饭吐出来。
类似的道理也适用于东西方阵营对待相对论。苏联最重视辩证唯物主义,所以苏联人最介意相对论破坏了时间和空间的客观性,违反了唯物主义。美国的迈克耳孙也知道相对论破坏了时间和空间的绝对性,也觉得极不舒服。但是在他所处的文化与科学环境里,时间和空间绝对与否,不被认为最重要,最重要的是真实。所以他的努力方向是提高精度再实验,因为实验是科学家获取真实的手段。
意识形态就是社会信仰,永远最重要。苏联人信仰唯物主义,按唯物主义的指引探讨新科学。后来的事实证明,苏联这样做严重阻碍了科学发展。西方社会的意识形态是基督教,信仰真实原则。迈克耳孙反对相对论,依据真实原则靠实验证明自己的观点。即使后来证明他错了,他的行为也没有阻碍科学发展。《圣经》中耶稣说,“我是道路”,就是这个意思。即使人最初错了,如果按耶稣指引的方向努力,也会逐渐找到正确方向,找到真理。
《圣经》中耶稣说,“我是真实”,却没有说“我是逻辑”、或“我是科学”、或“我是常识”、或“我代表物质的客观性”。耶稣之后两千年,人类开始懂得相对论和量子物理。回头再看耶稣的话,就觉得他说得非常对、非常精准!假如耶稣说,“我代表物质的客观性”,基督徒也会像苏联人那样对待新科学。
爱因斯坦Albert Einstein(1879-1955)是最早利用量子概念解决物理问题的人之一,并因此获得诺贝尔奖。但是当玻尔和海森堡等一批年轻物理学家发展出一整套量子理论时,史称“哥本哈根诠释”,爱因斯坦就退缩了,从根本上怀疑这套理论。大概他后半生都没有相信过量子物理。具体讲,哥本哈根诠释认为,粒子在被观测前以代表概率的波函数形式存在,观测让波函数坍缩成经典粒子。爱因斯坦不能接受物质在本质上是随机的,也不能接受“观测”造成粒子从波函数状态变成经典粒子状态。

图10,1930年于荷兰,爱因斯坦和玻尔在一起
关于物质的随机性,经典物理中存在很多随机现象,但是经典物理认为物质本身是确定的,只因为人的无知、或为了人的方便,所以才引入随机概念。量子物理则认为,粒子的所有属性在本质上就是随机的,不可能精准测量或预计。爱因斯坦完全不能接受这点,于是发出科学史上一句著名感叹,“我不相信神靠掷色子来决定宇宙”。
所谓“坍缩”就是,观测前粒子只是概率,观测让它们变成经典粒子。这个观念破坏了机械宇宙观、经典物理、和唯物主义共有的两个基本假设。一是现实独立于人而存在,二是人可以了解现实而不同时破坏现实。在量子物理中,如果人不去观测,粒子只是波函数,在经典意义上不存在,所以破坏了第一条。如果人去观测,波函数就坍塌成经典粒子,也就是说观测造成物质状态改变、人无法观测到不被观测时的粒子状态,破坏了第二条。爱因斯坦又不能接受,于是发出科学史上另一句著名感叹,“我相信在我不看月亮时它也存在”。
爱因斯坦猜想,量子物理理论彻底错了,量子世界与宏观世界并无本质区别,问题出在实验手段不足、或还没有找到正确理论。他与另外两位科学家在1935年把这种怀疑变成了可验证的假说,名曰EPR佯谬。在之后的80多年里,围绕EPR佯谬的研究成了理论量子物理的主流。EPR佯谬的核心叫“隐藏变量问题”。爱因斯坦假设,粒子状态在被观测前其实已经确定了,只不过人不知道,所以叫作“隐藏变量”。隐藏变量在被观测时显现,仅此而已。如果EPR佯谬被证实,那么粒子在被观测前本质上并不随机,现实还是独立于人而存在的,人的观测也没有破坏现实。那样的话,哥本哈根诠释就崩溃了。可见,EPR佯谬直击量子物理的核心。
举个类比的例子帮助大家理解EPR佯谬与哥本哈根诠释的区别。设想一个高中生梦想考进交大,高考录取完全依照分数,评分靠计算机,绝对公正。从现在到进交大,这个孩子需要经历高考和收到高考结果邮政快递两个关键时刻。在高考前,不可能知道他是否将被录取,所以他能否成为交大人本质是随机的。高考日所有考生上交考卷后,他是否进交大就确定了,但依然无人知道,直到他打开高考结果快递信封之前。爱因斯坦的EPR佯谬认为,观测就像孩子打开快递信封,之前录取状态本身已经确定了,但还是隐藏变量,它的随机性只是因为人的无知,打开信封的动作并不改变录取状态。哥本哈根量子理论认为,观测就像高考,之前录取状态本质不确定;高考(观测)让录取状态从随机到确定;如果没有高考(观测),录取状态永远不确定。
在验证EPR佯谬的过程中,世界各地的物理学家们或发明新理论,或做新实验,成果层出不穷。在理论方面,英国物理学家贝尔John Bell(1928-1990)于1964年发表贝尔定理,提供了一个巧妙的实验原理,能够区分隐藏变量假说与哥本哈根诠释。1967年,加拿大数学家科亨Kochen和瑞士数学家施佩克尔Specker对贝尔定理做出补充。1969年,四位物理学家,美国的克劳泽John Clauser、霍恩Michael Horne、和史摩尼Abner Shimony,以及加拿大的霍特Richard Holt,提出以他们姓氏首位字母命名的CHSH不等式,延伸了贝尔定理,并使其可以直接用于实验。1972年,克劳泽基于贝尔定理做出第一套实验,结果符合哥本哈根诠释,否定隐藏变量假说,也就是否定爱因斯坦的EPR佯谬。之后,法国物理学家阿斯佩Alain Aspect和奥地利物理学家蔡林格Anton Zeilinger等指出之前实验的关键漏洞,并用新实验堵上漏洞。总体讲,这类堵漏洞过程延续了几十年。在2015年,荷兰年轻物理学家汉森Hanson公布自己的实验设计与结果,被物理学界广泛认为堵住了所有重要漏洞,EPR佯谬从此算寿终正寝。2022年10月,阿斯佩、克劳泽和蔡林格三人因在验证EPR佯谬方面的贡献而获得诺贝尔物理奖(作者于2022年11月补充资料)。
目前主流量子物理理论被称为哥本哈根诠释,由玻尔和海森堡为首的哥本哈根学派创始。它曾让爱因斯坦等科学家极不舒服,今天它依然让新一代物理学家们极不舒服,尽管它已经战胜了很多挑战。学术界近年来出现了很多与哥本哈根诠释竞争的新量子诠释,五花八门,数量众多, 包括多世界诠释、量子信息论、客观坍塌理论、德布罗意-玻姆理论,等等。大概因为哥本哈根诠释让人感到荒唐,所以为竞争对手们设定了很低的门槛。每个新诠释被提出,通常是出自某些特定考虑。但在一般人眼里,新诠释比哥本哈根诠释更荒唐。我简单介绍它们,为了提醒读者,科学从来只是还未被证伪的假说,量子物理也如此。

图11. 多世界诠释示意图。时空“分叉”成多世界,分叉后的不同世界永不再相交。
目前,多世界诠释是最时髦的新诠释,最初由普林斯顿大学物理学博士生艾弗雷特Hugh Everett(1930-1982)在1957年提出。他认为所有量子作用,包括观测,都让世界“分叉”成多个平行世界,比如每个人也“分叉”成多个版本进入每个平行世界,这样的过程每秒钟发生十亿、百亿次。有人估算目前存在的平行世界总数是10的500次方或更多。我们感觉不到其他世界,因为在任一时刻人只能在一个世界,永远无法接触其他世界。多么荒唐的理论!
多世界诠释的鼓吹者对传统哥本哈根诠释的批评是,后者把世界一分为二,观测前是量子世界,遵循薛定谔方程;之后是经典世界,薛定谔方程失效。多世界诠释的鼓吹者并没有找到哥本哈根诠释的任何错误,只是不喜欢它对世界的断裂式描述。多世界诠释的根本观念是,薛定谔方程是描述世界的唯一规律,永远有效。为了保证这一点,它必须引入平行世界的概念。
多世界诠释还在发展中,理论界还没有达成共识。我觉得它游离于科学的边缘。科学必须真实,所以科学理论都应该有可验证性。在多世界诠释里,人只可能处于一个世界里,永远无法接触其他平行世界。目前看不出怎么设计实验来验证这套理论,所以我怀疑它是否还算科学假说。
在中国、苏联和西方,新科学都惊动了关于科学问题的最高权威,最高权威都利用体制给予的最有力方式反对新科学。在中国,关于任何问题的最高权威都是领袖。这被认为是“全国一盘棋”的体制优势。领袖发出最高指示,科学家们“用毛泽东思想改造自然科学基本理论”。在苏联,一切权力归苏维埃,联共(布)中央决议称,在科学界“对反马克思主义者(新科学的支持者)进行无情批判”。西方科学界是统一的,爱因斯坦就是西方物理界最高权威。他长期、明确质疑量子物理的根基,并给出自己强有力的竞争假说。在三地,新科学都在权威的反对下度过很多年,但结果却很不一样。在中苏,权威的压制耽误了科学的发展。在西方,量子物理界花了80年,艰难地回答爱因斯坦在1935年提出的问题,但这个过程强有力地促进了科学的发展。
很多国人会认为这是不同政治制度造成的结果,其实不然。比如在新科学发展最活跃的20世纪初期,关键人物如爱因斯坦、玻尔等在荷兰与比利时,当时是君主制或君主立宪制。普朗克、波恩、海森堡等在德国,经历君主制、民主制和纳粹。发现宇宙扩张的哈勃、测量光速的迈克耳孙、著名量子理论家费曼、多世界诠释的发明者艾弗雷特等在民主制的美国。这些国家的政治制度非常不同,它们的共同点是基督教文化。在这个文化下,如果荷兰国王、美国总统、甚至希特勒发表对科学内容的意见,科学家们会礼貌地倾听和答复,但对于西方科学家们来说,政治家的意见远不如爱因斯坦的意见重要。总之,基督教文化滋养了现代科学,并一直为科学成长提供最好的土壤。
有些非基督徒朋友问我,“为什么《圣经》中那么多奇迹故事,什么死人复活、瞎子突然看得见、水变成酒等?这些故事违反逻辑和常识、不讲科学,让我觉得好笑”。对于那些奇迹故事的具体情节,我并没有特别心得,只觉得那些故事表明耶稣是神,可以做想做的一切,并且爱人。但是从哺育科学的角度看《圣经》,我有自己的理解。我曾问自己,假如《圣经》不含任何奇迹,完全遵照逻辑和常识的原则写作,会有什么后果?《圣经》是世界上所有基督徒信仰的依据。两千多年来,数十亿百亿的基督徒潜心研究它。如果《圣经》遵照逻辑和常识的原则,基督徒们终将发现,并会把它用于现实中。那么在耶稣死后大约1900年的时候,如果还有人提出相对论或量子理论,基督徒就会基于这个原则群起反对它们,就像马克思主义的信徒们那样。所以《圣经》中的奇迹故事至少提醒基督徒,真实与真理有时不符合逻辑与常识。基督徒从《圣经》中学到这点,所以比马克思主义者们更好地接纳了新科学。
有一件证据表明,《圣经》故意保留其内部的自相矛盾,并且把它放在抢眼的地方,让信徒们无法躲避。《圣经》全书第一篇《创世纪》的前两章讲了两遍神创造宇宙的过程,而且两个版本存在明显矛盾。比如在第一章里,神先造动物后造人,但在第二章里,这个次序颠倒过来。在第一章里,神造了男女多人,但在第二章里,神只造了一个男人亚当,然后取亚当的肋骨造女人夏娃。不难想象,不论现在还是古代,都会有人觉得其中一个是假的,然后希望把它从《圣经》中剔除。但是《圣经》故意把第一个版本的结尾部分放到第二章的开头,让人很难把两个版本拆开。我的心得是,《圣经》要告诉人,真理有时看似自相矛盾。牛顿物理与爱因斯坦相对论就互相矛盾,相对论与量子物理也互相矛盾。这些矛盾并不代表相对论和量子物理错了,也不代表至少其中一个错了,而只代表它们还不是绝对真理,人还需要在更深层次上探索。
有些基督徒朋友完全按字面理解《圣经》。《创世纪》里故意保留自相矛盾,让完全按字面理解变得不可能。《圣经》的作者以这种方式告诉后人,不应该那样理解《圣经》,必须体会文字背后的精神。基督教早期著名圣徒奥古斯丁Augustine of Hippo(354-430),《忏悔录》的作者,生活在罗马帝国时代,从小饱读古希腊学术经典,32岁时皈依基督教。他刚开始读《圣经》时,惊讶于其语言的粗浅,觉得远比不上希腊经典的精致与严谨。他不知该如何理解里面的很多段落,自觉还不得要领,于是去罗马见好友圣盎博罗削Ambrose(340-397)。后者是著名的基督教教士和学者,告诉年轻的奥古斯丁,你要把《圣经》里的故事当作寓言看。奥古斯丁这才茅塞顿开。
著名美国女作家海伦凯勒Helen Keller(1880-1968)出生后不久因病变得又聋又哑又盲,几乎无法与外界交流。她回忆小时候怎样认识第一个字water。她的家庭教师安妮·苏莉文小姐让她把一只手放在水龙头下,让水不断冲刷,同时在她另一只手心里反复写water。这样做很长时间、重复很多次后,终于有一次小海伦突然领会了老师的意思,在她一只手里写的就代表她另一只手感到的。在自传中她回忆道,“突然之间,我模糊地感觉到,好像某种久违的意识又回来了。在那一刻我悟到了语言的神奇本质”。其实每个人都经历过小海伦经历的事,就是第一次把抽象的语言与具体的事物联系在一起。只不过一般人的第一次发生得早,以至于自己都忘了。但是这个经历至关重要,它是人所有语言的开始,也是人与人交流的基础。
很多朋友向我抱怨,既然基督教那么好,孕育了理性与科学,为什么《圣经》用那么多寓言、类比、拟人、暗喻等模糊表达方式、而不采用精准的理性方式呢?简单的回答是,因为神是理性的基础,所以神在理性之外。具体一点讲,逻辑、科学等理性方式非常适合研究客观世界,因为研究的对象实在,大家看得见摸得着。但是神不存在于客观世界里,每个人只能在自己心里遇到神。信神的人要与心里没有神的人交流有关神的事,有个根本困难,类似于苏莉文小姐要告诉既失明又失聪的小海伦water是什么。神是人看不见摸不着的,心里没有神的人不知道神是什么,信神的人用理性对他解释神就缺乏基础,就失去效力,所以必须另辟蹊径,就像苏莉文小姐那样使出浑身解数,每个办法都可能带来突破,但没有一样能保证成功。《圣经》大量借助类比、拟人、寓言、暗喻、靠感情打动等手段,也是同样道理。基督教中理性之外的成分,被统称为神秘主义Christian mysticism。
基督教里既有理性主义、也有神秘主义,二者相辅相成。中世纪时,大名鼎鼎的阿奎那Thomas Aquinas(1225-1274)引领理性主义崛起。他有一个忘年交的年轻同事,埃克哈特大师Meister Eckhart(1260-1328)不久后也中兴了基督教神秘主义。埃克哈特强调人要在精神上与神合二为一。他布道时通常用第一人称,真情实意,感人肺腑,让他声名远扬。他的布道词被印成书,广泛流传,直到今天。他的名言现在还常被人传颂,比如:
其实在中国人看来,基督教神秘主义一点都不神秘。西欧继承了古希腊文明,有深厚的理性主义传统,理性思想是主流,其他思想都被标识为神秘主义。而中国古代没有严格的理性或逻辑概念。如果按同样标准,佛道儒经典几乎都算神秘主义。比如道家的“知者不言,言者不知” ,佛教的“一花一世界,一佛一如来”。儒家就更多了。下面这些我们耳熟能详的话都不能算理性:
童年时一个人躲在无人的树丛中闭目遐想,或成年后不喜欢上班,早晨醒来不愿意张开眼睛。人在这类时候很容易理解,这个世界分成两块,眼皮里边一块、眼皮外面一块。眼皮里边是自己的,眼皮外面是公共的。科学是关于眼皮外面那部分的,对于眼皮里边的部分没什么作用。笛卡尔说的,“我思故我在”。思想在眼皮里边,这里才让人觉得自己的存在,才是真我。眼皮外边的世界纷繁热闹,但与真我总有隔膜。即使父母、兄弟姐妹、朋友、亲生孩子,也会与真我有距离,就更不用说其他人、其他事了。灵魂住在眼皮里边。这里有安宁,也有孤独。孤独促使人寻找。人若在眼皮里面的世界里认真寻找,就能找到了神。
信仰是实在的。人平时学习领会,到关键时刻从信仰寻求依靠,但科学无法给人这样的依靠。以前文讲到的钱三强为例,伟大领袖问他基本粒子是否无限可分时,他面对的选择是,照实讲可能让龙颜不快、自己倒霉;如果不吱声,不伤害任何具体的人,但将伤害中国理论物理的发展。这时他的所有科学知识都不会为他提供答案,因为“坚守真实”的原则,不是科学的内容。它在科学之外,来自基督教,却是科学的基础。如果钱三强信耶稣,他可以信靠耶稣的教诲,在领袖面前说实话,保护中国的科学。可见,科学不能做信仰,耶稣才是信仰。
信仰需要坚若磐石,但科学本性善变。今天的科学,明天就可能被证明是错误的。绝对时空概念曾被认为是科学的,但在麦克斯韦尔电磁学诞生后被证伪。麦克斯韦尔电磁学又在原子的行星模型确立后被证伪。本文没有涉及,波尔的原子量子化模型后来也被证伪。科学在不断被推翻,所以科学不能成为人的信仰。
另外,相对论说,时空扭曲、变形。量子物理说,如果人不看粒子,粒子就不存在;如果人观测,粒子就会无中生有地出现,等等。这些科学理论比《圣经》里的奇迹故事更离奇、更违反逻辑与常识。其实基督徒几千年来一直懂,真理有时就是违反逻辑和常识的。真实最重要,科学、逻辑和常识都没那么可靠。
科学远没有大家以为的那么强大。一百五十年前,人类只知道牛顿物理和电磁学,却以为自己就要理解整个宇宙了。现在科学比那时进步多了,发现宇宙中71%的能量我们完全不懂,于是叫它“暗能量”。还有大约24%是“暗物质”,科学家们把宇宙中无法解释的引力都归咎于暗物质,但其实没找到它,对它也一无所知。宇宙中只有4.6%的物质以我们相对熟悉的原子状态存在,但其中很大部分是我们知之甚少的宇宙尘埃。算下来,科学能研究的物质,包括天空中能看到的、或未来可能观测到的所有星辰,加在一起也只是宇宙的很小一部分。科学这么无力,内部还存在那么多自相矛盾,比如相对论与量子力学之间互不兼容。了解科学的全貌后,人怎么还可能信仰它?科学的本质是工具,不是信仰。

图12,宇宙构成。简单讲,暗能量就是科学无法解释的能量,暗物质就是科学家找不到的物质。
每个人应该认真推敲自己的信仰,可惜的是,太多人没有。我们年轻时的1980年代是过去70多年里最自由、最开放的年代。但是总体讲我们这代人没有很好地利用机会,信仰并没有获得大发展。比我们更早的文革那代人狂热追求错误的信仰,让国家走入浩劫。文革之后,高层为了政治便利,躲避彻底反思,口号是“不争论”。在1980年代,我们本应看清上一代信仰的错误,寻找正确的信仰,然后奋力追求。但是我们没有,而是在“不争论”的大大环境下得出错误总结,认为热心追求信仰就是错,不思考、吃喝享乐才是聪明。记得在交大时,圣诞节要去教堂做礼拜,到了教堂却进不去,门口被年轻人围得里三层外三层,连教堂墙外的树上都是人。但是这些围观教堂的人中,绝大多数为了新奇、接触外国人等,很少有人深入思考基督教义。
目前中国又面临大方向的抉择,继续留在西方主导的国际秩序里,还是重回毛泽东时代那种以西方为敌的状态。新一代青年不得不思考有关社会意识形态和个人信仰等问题。我们本应该为他们提供思想借鉴,或至少每个人为自己的孩子做榜样。但是当他们看我们时,却发现找不到成型的思想。比如我们曾叫嚷民主自由,但过去几十年里少人坚持,所以理解不深。其实绝大多数人的思想还停留在被灌输的马克思唯物主义里。殊不知唯物主义者比例这么高,最适合的制度就是苏联式社会主义。如果在唯物主义之上,还参杂中国传统的忠君等观念,那么最适合的就是毛泽东时代的社会制度,或数字时代的毛式制度2.0。青年一代在我们身上找不到值得借鉴的心灵支柱,只能跳过我们这代人,转而向文革那代学习。文革追求的那一套意识形态惨痛地失败了,但他们至少知道自己信仰什么。他们认真过,试尝过实践自己的主张。在三聚氰胺奶粉与空中画饼之间,饥饿的人会选择前者。
马云成立了湖畔大学,立刻有人联想到明朝的东林党,预感他可能对政权产生威胁,于是他就被灭掉了。当权者从来对威胁自己权力的人和事非常敏感。中国人如此,外国人也一样。在中世纪,基督教会全面主导社会和人的思想,是西欧的权力核心。文艺复兴时期现代科学诞生,西欧上下马上感到其对基督教和教会的威胁。培根和笛卡尔都生活在那个时代。培根的经验主义,就是从哲学高度告诉人,“我仔细研究了科学的本质,发现它从头到尾只需要事实和归纳逻辑,真的不需要神或教会啊!”笛卡尔的理性主义接着说,“培根你说得有点偏激。我看科学既需要事实,也需要神给予人的理性。所以科学里还有神的作用,但确实没教会什么事”。当时教皇和身边高级教士群体都是饱学之士,非常重视新兴的科学,经常直接介入具体问题的处理,详见拙文《为什么现代科学诞生在西欧,不在中国》【1】。虽然教廷内部有反覆,但经过深入斟酌后还是决定放行科学,推动它发展,没有像中国历代掌权者那样,绝不放过把威胁消灭在摇篮里的机会。
从文艺复兴至今,西方社会里不断生出新思想,挑战基督教与基督教会的权威。众所周知的例子包括日心说、达尔文的进化论、政教分离思潮、欧洲大陆上反对教会的民主革命,比如法国大革命、反基督教的马克思主义、尼采的“上帝已死”,等等。总体讲,基督教会一直用平等讨论的方式对应,而不是借助暴力或政治打压,即使自己有能力也有机会,即使对方真的侵害了自己的权力与利益。这种克制对待挑战者的方式独一无二,让世界其他文化圈的人觉得不可思议。比如伊斯兰世界的主流从公元9世纪到现在一直实行艾什尔里主义Ash’arism,坚决维护《可兰经》与教士系统的权威,认为神意是所有事情的原因,包括下雨,对违反者严惩不贷。这种死板直接导致科学在伊斯兰世界衰落。晚清面对亡国危险也坚持旧体统,只接受“中体西用”,不愿全面西化,阻碍了科学与民主进入国门。进入现代之后也一样,上面讲到,以忠于科学为口号的苏共和中共严厉打压新科学。全世界中学生都从基督教会自我批评的文献中得知,教会也曾迫害过科学家。但是总体讲,西欧基督教对科学和新思想最宽容,其他信仰体系不能望其项背。
西欧社会之所以可以做到这样,根本原因就是基督教义。基督教崇尚真实、相对看低利益与权力。现代科学诞生时,罗马教廷总体坚持了教义,表现出伟大远见,宁可自己权力和利益受损。之后的西欧领袖和大众也大致恪守了当年的决议。受辩证唯物主义历史观影响,很多人错误地认为,人类总是自然向前发展的,因此科学总会出现并不断进步。其实不然。至少在过去千年里,在基督教文化侵入之前,科学水平在伊斯兰世界、东亚儒学社会、印度、美洲印第安人社会、黑非洲等地,都停滞不前,甚至倒退了。只有在西欧基督教社会,现在科学才得以诞生,才得到大发展。现代科学实际是基督教文化土壤上的“特产”。
马克思主义哲学有两大支柱,一是唯物主义,二是辩证法。其辩证法主要应用于理解人类历史的本质与意义。本文介绍新科学。其中相对论表明,时空因观测者运动状态不同而不同。时空因人而异,相对论否定了时空客观性。量子双缝实验中,粒子原是概率波,因实验者观测而变成经典粒子。人的观测能缔造粒子,量子物理否定了粒子的客观性。马克思唯物主义的基础,物质的客观性,因此被新科学否定。
马克思主义辩证法继承了黑格尔的理论,但是黑格尔认为历史的源动力是绝对精神。绝对精神就是神在哲学里的代名词。而马克思认为阶级斗争才是阶级社会发展的源动力。在马克思主义历史观里,阶级斗争不依人的意志为转移,不可避免。这个结论是基于马克思把人假设成没有灵魂的动物,崇尚阶级利益,为了阶级利益不择手段,比如可以杀人。但人不同于动物,人有灵魂。确实有些人漠视良心,选择为利益不择手段。但人可以选择像耶稣那样崇尚爱,追去人爱人,把爱看得高过利益。
在基督教文化圈里,利益诉求不同的人之间,包括无产阶级与资产阶级之间,可以互相合作,经过协商达成妥协,从而和平共存,共同富裕,避免或抑制了阶级斗争,和任何大规模的、你死我活的斗争。比如500年前,教会手握重拳,却没有扼杀挑战自己权威的新兴科学。再比如现在西方民主国家里,无产阶级与资产阶级之间和平共处,相互合作,没有你死我活的斗争。还有,在西方民主国家之间,即使力量差距悬殊,也没有恃强欺弱的战争,比如美国与加拿大之间。所以马克思的历史辩证法也经不起推敲。
最后,本文的目的不是利用科学证明神的存在。科学永远不可能证明神的存在,因为科学的对象是客观世界,而神不在这个客观世界里。本文要说的是,很多同学试图用科学证明神不存在,那是荒谬的,是没看清科学的本质和现状。虽然科学不可能证明神的存在,但是很多科学发现与神的存在相一致。
2021年12月3日
电邮:yuanzhiluo@yahoo.com 博客网址:https://lyz.com
https://www.haiwai.com/blog/p/1901069
https://blog.creaders.net/u/13147/202112/420587.html
http://luo-yuanzhi.hxwk.org/2021/12/04/sci_marx_god/
http://my.cnd.org/modules/newbb/viewtopic.php?topic_id=101715&forum=2
https://bbs.wenxuecity.com/rdzn/4872518.html
https://www.lyz.com/sci_marx_god