2016 (75)
2018 (91)
2021 (49)
关于毛泽东玩弄年轻女孩---《反叛的御医》是怎么说的?(下)
《答客问》的主要内容是《毛泽东私人医生回忆录》的成书经过的描述:
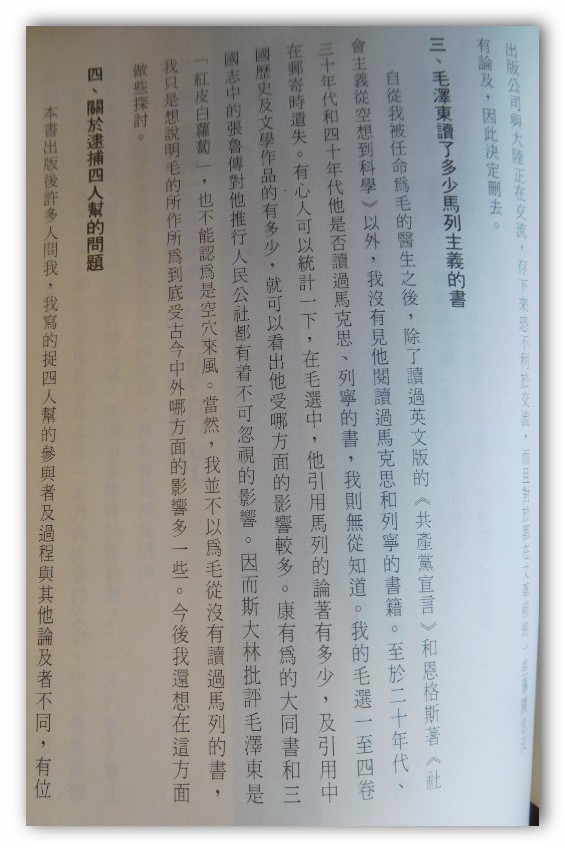
《毛泽东私人医生回忆录》中文稿从1989年3月开始动笔,同年11月完成。但我(李医生)对非医学的出版发行完全外行,所以将几章书稿托人找出版社接洽半年之久,毫无着落。另一友人建议译为英文出版,故我又将第一、二章译成英文,接洽纽约的Random House出版社。该社总编辑Jason Epstein立即表示愿意出版。但我全文翻译有困难,故请老友戴洪超翻译,做了不少删削。石文安女士作编辑助理,为了使英文读者明白故事、人物及背景,做了一些补充。又由专门探查法律问题的律师审阅,做了些在法律上必要的删改,才完成英文版的定稿。与原中文稿相较,删去了三分之一。我原拟中文版以中文原稿出版,但Jason不同意,因为这样就形成两种不同的版本。中文版是以英文版翻译回来的,只不过增加了一些历史故事、方言及俚语。比较明显的一个不同是删去邓小平1958年住院有一位护士照顾他的情节。因是史书翰告诉我的,史于文革初自杀,已无人证,律师建议删去。李医生还说:毛很少读马列的书。又谈书中逮捕四人帮的部分,以及书中的误字和笔误。等等。
《答客问》全文照片登在下边:






這就是我在《反叛的御医》一书中,读到的李志绥对《毛泽东私人医生回忆录》的成书经过的描述。李志绥医生肯定了《毛泽东私人医生回忆录》中寫的毛玩弄年轻女孩是他在毛身边看到的事实(不是书商或其他甚麼人硬塞進去的)。各位可以对照原文判断。
感謝宜城漁翁為我們介紹了這本好书。它是"对《毛泽东私人医生回忆录》最好的注释"(宜城漁翁語)。按照这本书的解读,只能是:荒淫无道,祸国殃民。
期待宜城渔翁show给大家看一本内容完全相反的《反叛的御醫---毛澤東私人醫生李志綏和他未完成的回憶錄》。
本文在【几曾回首】论坛登录后,有很多跟帖。兹全部、一字不易ZT如下:
• 小白脸要当心了 李志绥死得不明不白 被阎王勾了魂 你一而再 再而三地发这种垃圾 有什么意思 -子凌滩- ♀
(0 bytes) (27 reads) 07/21/2018 postreply 07:33:06
• OSS很自豪能招到学界精英。李书被学界精英参与改动过是业界内的共识。所谓李公开发表的真伪难辨,他私下之言才可能是真。 -桃花源主- ♂
(437 bytes) (54 reads) 07/21/2018 postreply 07:53:30
• 书的大纲和重点,都是别人定的。许多事李不是参与者而且没有列出证人证据。而单单邓的事,非要证人。 -桃花源主- ♂
(0 bytes) (4 reads) 07/21/2018 postreply 08:04:04
• 真正反毛的其实是现在的修正主义当局,敌人诋毁毛泽东主席可以理解因为他们是敌人,可现在的共产党当局是叛徒。 -aebny- ♂
(383 bytes) (26 reads) 07/21/2018 postreply 08:09:36
• 常人没有毛泽东的品德,才能和威望,也只能借着毛的余荫,走他们能走的路。只有当社会矛盾积累到一定程度或再遇圣贤,才会有大的变革。 -初心勿忘- ♀
(77 bytes) (15 reads) 07/21/2018 postreply 10:39:56
• 很久以前看到这本书, 我只是翻了翻.感觉就是不可信。 -最接近太阳的人- ♂
(0 bytes) (6 reads) 07/21/2018 postreply 08:21:54
• 百脸兄还是多写些游记比较好, -月城- ♂
(126 bytes) (96 reads) 07/21/2018 postreply 08:37:53
• 其实我也是看了您写的崔阿姨故事才去查资料写出来给大家参考的。这其中还带出1968年我在广州读书时亲自经历的趣事, -小百脸- ♂
(219 bytes) (54 reads) 07/21/2018 postreply 08:50:08
• 您写的那几篇关于513演出的贴我也读了, -月城- ♂
(493 bytes) (59 reads) 07/21/2018 postreply 09:02:01
• 您回去有机会问问崔阿姨,相信她知道的比你我知道的多得多。当时(1968)我从一位军 -小百脸- ♂
(330 bytes) (35 reads) 07/21/2018 postreply 11:31:19
• 哈哈, 又是一个 -hillhawkus- ♂
(202 bytes) (87 reads) 07/21/2018 postreply 08:39:02
• 哈哈,根据芥末灰书,您已得到坚定不移的结论,嘿嘿~! -弓尒- ♂
(335 bytes) (55 reads) 07/21/2018 postreply 08:56:05
• 谢谢介绍 ! -老商- ♂
(0 bytes) (2 reads) 07/21/2018 postreply 09:57:06