个人资料
慕容青草 (热门博主)
  • 博客访问:
归档
正文

关键是如何计算多普勒效应

(2023-04-23 15:30:18) 下一个

戴榕菁

在“没了洛伦兹,能量减半。。。。”【[1]】一文中我运用爱因斯坦在他发表E=mc2的历史性文献“Does the Inertia of a Body Depend Upon Its Energy-content?”【[2]】中的思路,在没有用到洛伦兹变换的前提下推出:

E=mc2/2                                   (1)

专业物理学者或任何熟悉多普勒效应计算公式的读者应该马上能看出,我在该文中的推导与爱因斯坦的原文中的推导的唯一区别在于对多普勒效应的计算的不同。在文献【2】中,爱因斯坦使用了下式:

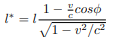
                         (2)

其中l*是光在运动坐标系中的能量,l是光在静止坐标系中的能量,v是两坐标系之间的相对速度,c是真空中的光速,?是运动方向与x轴之间的夹角。专业物理学者或任何熟悉多普勒效应计算公式的读者应该马上能看出 (2)式是计算光能的相对论多普勒效应计算公式

而我在【1】中用来取代爱因斯坦的(2)式的正是计算光能的非相对论多普勒效应计算公式

l* = l {c/(c-v)}                         (3)

具体体现在推导的过程中,爱因斯坦在【2】中的H0为:

                                    (4)

而我在【1】中的H0为:

H0 = H1 + {c/(c-v)}L/2 + {c/(c+v)}L/2 = H1 + c2L/(c2 – v2)                  (5)

所以,我在【1】中的推导与爱因斯坦在【2】中的推导的唯一区别在于他用的是相对论多普勒效应,而我用的是非相对论多普勒效应,除此之外,两者的推导思路完全一样------因为我完全照抄他的除了多普勒公式之外的推导思路。

所以,在相对论多普勒效应的前提下著名的爱因斯坦质量-能量关系为E=mc2,而在放弃了错误的狭义相对论之后的质量-能量关系便是:

E=mc2/2

 

[[2]] Einstein, A. (1905a). “Does the Inertia of a Body Depend Upon Its Energy-content?”. Retrieved from: https://www.fourmilab.ch/etexts/einstein/E_mc2/e_mc2.pdf

[ 打印 ]
评论
目前还没有任何评论
登录后才可评论.