
在1880年之前‚无论是雪梨的华人或本土的英文传媒都没有雪梨唐人街的说法‚尽管澳洲已有唐人街的概念(例如在维省)‚主要原因是雪梨只有有限的华人杂货店及家俱制作的商户‚几乎集中在现在环型码头附近的下佐治街LowerGeorgeStreet及必街PittStreet一带。虽然在1860年前后发生过大量华人乘船到来‚但很快就散发到淘金的地方去‚只是像一个浪潮即归于和缓。[
阅读全文]

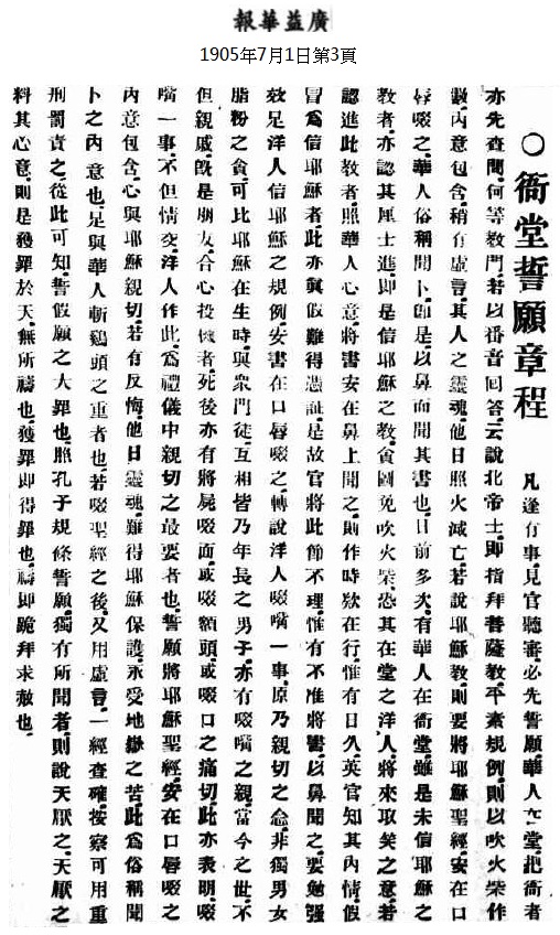
上文既开了个头说“衙当誓愿章程”的事,倒不如将法庭的情况说得更清楚一点。
下图是雪梨高等法院庭审时的示意图,按1902年李益徽控告东华新报时的报导所描绘:
原文是这样的:“衙中正面长台二张,乃按察自登入门右手墙边(1);近于长台则间开地所,陪审四人坐密之位长台面前(2)。又文武把衙人员:文员把衙,身穿长袍,颈前有白带,侍候按察者(3);[
阅读全文]

宣誓这个词,在晚清之前似乎只有民间才有,大多认为出现是在江湖的滴血为盟,弄只公鸡割颈或割手指取血混入酒中分喝;当然喝血酒前还得起誓,大意是当天发誓,若他日有违誓言,天打雷劈之类。其实不然,记得儿时上与玩伴们也会相互起誓。先在头上拔下几根头发扔到地上,再随口吐一口水于地,说甚么做不到的话就不得好死之类;也有举起三根指头向天发誓的。这[
阅读全文]

这些资料整理很久了,一直考虑是否上传。华人自移民到澳洲开始,毁誉皆有。文化差异及生活习惯所造成的偏见及歧视,是正常的社会现象,也给整个社会带来压力及困扰,几乎每个种族的移民都深有体会。作为后来者,大可不必为前人“背锅”。至于“反思”则视乎从那个角度去看了,假如从华人的整个种族而言,反思是有必要的;而以个人而言,则是借镜历[
阅读全文]

九.补遗前文所说孖士确Mascot华人教堂,在2Tramway-street的是属长老会。在RickettyStreet的一间当时没有资料,现在作补充。这一间圣公会华人教堂是经司徒仟创立,但所搜集的资料有点冲突。有一种说法是“…..查雪梨埠英国教堂,则有姓司徒名仟者为牧师。士吉治人长老会教堂则有周容威牧师。司徒仟先生日前在美国领受洗礼,至今二三十年。周容威先生入教至今,亦共[
阅读全文]

六.孖士确Mascot的华人教堂前文所说孖士确Macot有两间华人教堂,其中一间是在RickettyStreet,是早年收集资料时找到的;现在不知道储存到计算机那个角落,再在网上却又难以寻获,所以这里仅介绍主要的一间。华人教堂是在2Tramway-street,与砵尼路BotanyRoad交叉的街角。之所以选择在这,是因为有菜农职业的华人700到800人之间(“ChineseChurch,BOotany”.DailyTelegraph,15June1885,page6)。[
阅读全文]

四.早期华人菜农的具体情况1. 从业人数能得到孖士确Mascot华人菜农具体人数的资料是1885年6月15日的DailyTelegraph的“CHINESECHURCH,BOTANY”:另外的数据是35年之后李襄伯在广益华报所透露的,“....雪梨埠外华人菜园二百余个,华工千余名,菜蔬市利权十九为华人所享。....七月廿一日,雪梨埠白人菜园会特派代表往见工务部长。云说雪梨埠外各华人菜园每每由早晨三四点[
阅读全文]

孖士确Mascot,早年有另一译名为“孖士葛”;在英文地名中确定为Mascot的却是在1911年之后的事,之前是属NorthBotany的范围。到2021年时该地区总人口为21591人,出生在中国的华人占的比例是11.4%,但将在家说国语及粤语的合计为16.7%,换言之是相当部份是从香港或东南亚的移民。一 孖士确Mascot的历史1835年纽省政府在长久发展计划中是将亚历山大Alexandria及窝打鲁Waterloo作为[
阅读全文]

雪梨唐人街雜錄(40)七. 窝打鲁的庙宇图3-1洪圣宫庙HongShengGong(16-22RetreatStreet)是窝打鲁唯一的华人庙宇,它的名称与国内绝大多数庙宇不一样,将“庙”和“宫”合在一起是比较少见的。华人报纸早于英文报纸对该庙的报导:照雪梨洋報云,華人善會洪福堂現在埠邊亞力山打地方建成屋宇十間,非比平常。洋人所建之屋,料非易得善良屋客租賃。此十屋宇乃邀請[
阅读全文]

雪梨唐人街雜錄(39)三. 窩打魯唐人街成立的因素早在窩打魯唐人街被主流社會確認之前(圖2-1),沙厘希爐SurryHills的域士活街WexfordStreet(現名為溫和扶道WentworthAvenue)也曾被主流社會確認為唐人街。域士活街唐人街在1911年改造前無論在社會階層及規模上都有別於佐治街或妗布街的唐人街,而同樣為華人精英們看不起(被稱為“爛布街”)。域士活街唐人街之所以為主流社[
阅读全文]