
当地时间今日下午(2017年4月15日,周六),现今世界上最长寿的寿星艾玛摩拉诺(EmmaMorano)在意大利小镇佛尔巴尼亚(Verbania)家中安详地去世了,享年117岁。她的医生卡洛斯巴伐对外宣布了这一消息,去世时,她坐在家里的扶椅上,没有一丝痛苦。
阅读全文]

4月9日是周日,在从芝加哥O'Hare去肯德基州路易维尔的美联航3411航班上,联航因为有四位雇员要乘坐该航班,而要求四位已登机入座的乘客下飞机。其中一位是69岁男性越南裔华人医生,英文名叫DavidDao,中文两种译法,一为陶大卫,另一为杜成德,可能杜成德更可靠,就称杜医生吧。因为周一排满了病人,杜老医生必须在周日晚间赶回路易维尔。所以该医生不愿离开飞机,[
阅读全文]

今天听到的这件事,让我实在忍不住了,这是美国联合航空公司(UA)做的一件极为可恶,令人作呕,十分可耻的事。
昨日(4月9日,周日)约6pm,在从芝加哥O'hare去肯德基州路易维尔的联航3411航班上,在乘客们已被安排好座位后,因为航班售出机票过多(overbooked),联航又要求有四名乘客按自愿方式离机,但在没有自愿者后,机长便随机用电脑方式指定了四名乘客[
阅读全文]

曾经有位男孩,家里很穷。男孩平常靠自己挨家挨户地敲门按铃售卖物品,换些钱以付学费。一天放学后,他饥肠辘辘,然而口装里却只有十分钱,不够买食物的。
男孩太饿了,决定在下一家要一顿饭吃。门开了,一位美丽可爱的女孩出现了,男孩显得有些紧张,本来说要一顿饭吃的,结果却说要一杯水喝。
女孩看到了男孩饥饿的神情,于是给男孩递来了一大杯[
阅读全文]

2017年4月6日,中美两国首脑习特在佛罗里达州的马喇拉沟举行,双方还共同欣赏了特朗普外孙女和外孙演唱中文歌曲《茉莉花》并背诵《三字经》和唐诗。习近平在会晤中欢迎特朗普年内对中国进行国事访问。
那么这个马喇拉沟究竟是个什么宝地呢?其实马喇拉沟就是西班牙语Mar-A-Lago的音译,意为seatolake,所以中文名称意译为海湖庄园。
其实海湖庄园[
阅读全文]

Medscape最近问卷调节了30个专业1万4千多医生。
医生的职业倦怠以丧失工作热情,负面情绪,及个人成就感低下为标准。
阅读全文]
医生职业倦怠的25个事实医生的职业倦怠不仅在美国,估计在全球各国也都广泛存在。一.什么是医生职业倦怠?医生职业倦怠指各种内在及外在压力因素影响医生的健康,导致包括情感贫脊,去个性化,人格解体,对个人成就感漠不关心等。一项调查显示,超过50%的美国医生在日常工作中表现出至少一个职业倦怠的症状。我们自己医疗系统内部调查也表明17%的医生每天至少有[
阅读全文]
这事闹的!哥大今年在住院医生Match时摆乌龙了!
毎年三月是美国住院医生及培养住院医生训练计划中心的Match月。住院医生申请者在截止日前呈交自己想去的训练中心给第三方———即国家住院医生Matching计划(NRMP),培训中心也在截止日前向NRMP呈交他们想要的住院医生,经由NRMP来电脑匹配,决定住院医生去哪儿,同时也决定培训中心录取了哪些住院医生。所[
阅读全文]

一.只要你坐飞机出国或长途旅行,不管你是每天人在旅途的老旅者,还是数年不遇的一次长途飞行,都避免不了有时差(JetLag)这个问题。在目的地,该睡时候睡不着,该醒的时候醒不来,白天感到疲惫无力,注意力不易集中,做事的效率低,易激惹,情绪不稳定,甚至有些胃肠不适。这些都是常见时差的表现。时差一般出现在快速穿越2至3个时区后。穿越时区越多,时差症状[
阅读全文]

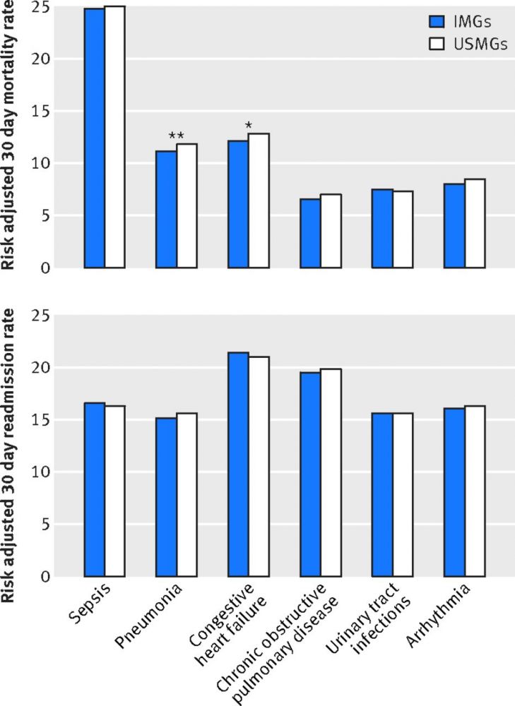
哈佛研究结果:美国医院里的外国医学院毕业生稍优
今年二月份,在英国医学杂志(BMJ)上发表了一篇哈佛的研究结果表明由外国医学院毕业的医生(IMG)诊治的老年病人死亡率比美国本土毕业生(USMG)要稍低一点(11.2%vs11.6%)。不过病人平均每次住院的价格要比美国本土毕业生稍多一点(多47刀,1145刀vs1098刀)。病人再入院率两者相似。
在美国,英国,加拿[
阅读全文]